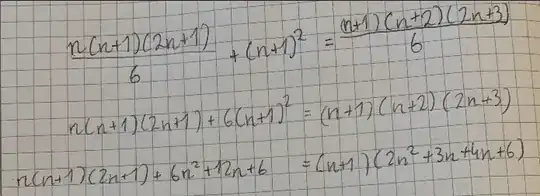
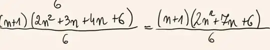
I am trying to solve this question. I have to proove that L = R side Question:
$1^2+2^2+\ldots+n^2=\frac{n(n+1)(2n+1)}6$
What I got so far, I am stuck on third step, the numbers seem too big. I do not know what I'm doing wrong. Can someone assist me please?

