I find some difficulty with the following exercise:
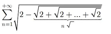
Test the convergence of the series $\sum_{1}^{+\infty} \sqrt{2-\sqrt{2+\sqrt{2+...+\sqrt{2}}}}$ (n square root) (*more clearly in the picture below)
I tested the limit of $a_n$ and it's $0$; I tried to calculate $\lim \frac{a_{n+1}}{a_n}$ but it seem to be difficult.
I don't know which theorem I should use to solve this problem. Can anyone help me or give me hint? Thank you so much.
