Please help me find radius of convergence of the following: check the attached picture to have a better image
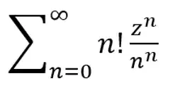
\sum n=0 to infinity n! z^n / n^n
I used Hadamard's formula 1/R=lim sup|an|^1/n didnt know how to proceed is the radius = infinity? or 1/e plz help

Asked
Active
Viewed 996 times
0
user314
- 13
- 5
-
Hint: Use starling's formula to approx. n! and calculate the limit. – Subhajit Ghosh Sep 13 '21 at 04:15
-
I've never heard starling's formula, so please show solution if you know I will deeply appreciate it – user314 Sep 13 '21 at 04:17
-
https://en.wikipedia.org/wiki/Stirling%27s_approximation – Subhajit Ghosh Sep 13 '21 at 04:20
-
well I only have to use Hadamard's formula which is the radius of convregence can you please try using it – user314 Sep 13 '21 at 04:22
-
https://math.stackexchange.com/questions/201906/showing-that-frac-sqrtnnn-rightarrow-frac1e – Subhajit Ghosh Sep 13 '21 at 04:40
1 Answers
0
Hint: Use the root test with $a_{n}=(n!/n^{n}) z^{n}$ to get $$ \limsup\sqrt[n]{|a_{n}|}=z\lim\frac{\sqrt[n]{n!}}{n} $$
parsiad
- 25,154