$\large \text{Introduction:}$
This summation is related to this other Bessel Summation question:
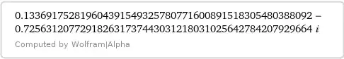
$\large \text{Goal Sum:}$
The actual question uses the Modified Bessel Function of the Second Kind and corresponding Kelvin functions The sum may have a slightly different value. It would probably be easiest to use integral representations as alternative forms of the functions may not work well. I am looking for 2 solutions: one closed form for the kei(x) sum and one closed form for the ker(x) sum. This is because all other summations of just a function ended up with a closed form. Also try contour representations of which I am unfamiliar:
$${\sum_{\Bbb N} \text{ker}(x)+i\text{kei}(x)= \sum_1^\infty \text K_0\left(\sqrt ix\right)= \sum_{x=1}^\infty \int_0^\infty \frac{\cos\left(\sqrt{i}tx\right)}{\sqrt{t^2+1}}dt=\sum_{x=1}^\infty\int_0^\infty \cos\left(\sqrt ix\sinh(t)\right)dt=0.133691752819604391549325780771600891… - 0.725631207729182631737443031218031025… i}$$
Here is a summand plot. Note the sum starts for $x\ge 1$:
$\large \text{Abel-Plana Integral Representation:}$
Another method is to use the Abel-Plana formula which does work as shown here with the difference term evaluated. The simpler integral over the summand only has a complicated closed form. Here the integral of the summand in the last step can be found by evaluating the closed form antiderivative from $[-1,\infty]-[-1,1]$:
$${\sum_0^\infty \text{ker}(x+1)+i\ \text{kei}(x+1) =\frac{\text{ker}(1)+i \ \text{kei}(1)}{2}+\int_0^\infty \text {ker}(x+1)+i\ \text{kei}(x+1) dx+\int_0^\infty \frac{i\ \text{ker}(1-ix)-\ \text{kei}(1-ix)-i\ \text{ker}(1+ix)+\ \text{kei}(1+ix)}{e^{2\pi x}-1}dx=\frac12 \text K_0\left(\sqrt i\right)+\int_0^\infty \text K_0\left(\sqrt i(x+1) \right)dx +i\int_0^\infty \frac{\text K_0\left(\sqrt i(1-ix) \right)-\text K_0\left(\sqrt i(1+ix) \right)}{e^{2\pi x}-1}dx}$$
$\large \text{Other Integral Representations:}$
Using @Jack Barber’s Floor function integral solution in the following question gives this result. Please see the bolded “Kelvin functions” link for more Generalized Kelvin function information:
$$\sum_\Bbb N(\text{ker(x)}+ i\text{kei}(x))=\sum_\Bbb N \text K_0\left(\sqrt i x\right) =\sqrt[4]{-1}\int_0^\infty\lfloor x\rfloor \text{kei}_1(x)dx+\sqrt[-4]{-1}\int_1^\infty \lfloor x\rfloor \text{ker}_1(x)dx=(-1)^{-\frac34}\int_1^\infty \lfloor x\rfloor \text K_1\left(\sqrt[4]{-1} x\right)dx$$
Here is the integrand plot:
Let’s now use the Fractional Part/Sawtoothwave function. Note that the point discontinuities can be ignored as a result of the integral operator:
$$\text{frac}(x)=\mod{(x,1)}=\text{sawtoothwave}(x)=\boxed{\{x\}}=x-\lfloor x\rfloor\implies x-\{x\}=\lfloor x\rfloor$$
Therefore our goal sum can be expressed as the following. This is the closed form integral of $x\text{kei}_1(x),x\text{ker}_1(x)$. The integral on $[1,\infty]$ is the same as on $[0,\infty]-[0,1]$, but the integral of the $x\text{ker}_1(x)$ function integral on $[0,\infty]$ is just $-\frac\pi 2$ while for $x\text{ker}_1(x)$, it is just $0$ on the same interval meaning that:
$$\sum_1^\infty (\text{ker}(x)+i\text{kei}(x))= \sqrt[4]{-1}\int_0^\infty (x-\{x\}) \text{kei}_1(x)dx+\sqrt[-4]{-1}\int_1^\infty (x-\{x\}) \text{ker}_1(x)dx = (-1)^{-\frac34}\left(\frac\pi 2+\int_0^1 x \text{kei}_1(x)dx+\int_1^\infty\{x\} \text{kei}_1(x)dx \right)+ (-1)^{\frac 34}\left(\int_0^1 x \text{ker}_1(x)dx+\int_1^\infty\{x\} \text{ker}_1(x)dx \right) $$
$$\sum\limits_1^\infty \text K_0\left(\sqrt ix\right) = (-1)^{-\frac34}\int_1^\infty (x-\{x\})\text K_1\left(-\sqrt[4]{-1} x\right)dx =\sqrt[4]{-1}\left(\frac{i\pi}2+\int_0^1x \text K_1\left(\sqrt[4]{-1} x\right)+\int_1^\infty\{x\}\text K_1\left(\sqrt[4]{-1} x\right)dx\right)$$
There are many alternate forms for the floor function, so many more integral representations are possible in terms of related functions.
Here is a plot of that Fractional Part function times the Bessel-Kelvin type function integrand:
Note that I could have made a typo. An exact form answer is needed and a closed form is optional. This question was found as the summand graph decreases rapidly and after a lot of terms, and converges quickly to over $50$ digits in just the first $300$ terms. We now have $2$ working integral representations of the constant, so how can we evaluate them or the sum representations? Please correct me and give me feedback!
Note that $\sqrt[-2]2=\frac1{\sqrt 2} $ is easier for MathJax $From @Yuri’s help, here is an integral representation for:
$$\sum_\Bbb N \text{ker}(x)=\int_0^\infty \frac{e^{\cosh(x)\sqrt[-2]2} \cos(\cosh(x) \sqrt[-2]2)}{\big(e^{\cosh(x) \sqrt[-2]2} \cos(\cosh(x) \sqrt[-2]2) - 1\big)^2 + e^{\sqrt2\cosh(x)} \sin^2(\cosh(x) \sqrt[-2]2)} - \frac 1{\big(e^{\cosh(x) \sqrt[-2]2} \cos(\cosh(x) \sqrt[-2]2) - 1\big)^2 + e^{\sqrt2 \cosh(x)} \sin^2(\cosh(x) \sqrt[-2]2)}dx $$
$$\sum_\Bbb N \text{kei}(x)=-\int_0^\infty \frac{e^{\cosh(x)\sqrt[-2]2} \sin(\cosh(x) \sqrt[-2]2)}{\big(e^{\cosh(x) \sqrt[-2]2} \cos(\cosh(x) \sqrt[-2]2) - 1\big)^2 + e^{\sqrt2 \cosh(x)} \sin^2(\cosh(x) \sqrt[-2]2)} dx$$





