1

$\omega \in \Gamma(T^*M)$, $X,Y\in \Gamma(TM) $, $(M, g(t))$ is Riemannian manifold whoes metric depends on $t$. If I have $$ (\partial_t \nabla _X \omega)Y =-\omega(\partial_t \nabla_X Y) $$ Why $\partial_t \nabla \omega = \omega * \nabla (\partial _t g)$ ?

What I do: Assuming $\omega =\omega_i dx^i, X=x^i\partial_i, Y=y^i\partial_i$, I can get $$ -\omega(\partial_t \nabla_X Y) = -\omega_k x^i y^j \partial_t \Gamma_{ij}^k \tag{1} $$ I think (1) means that $\partial_t \nabla \omega = \omega * \nabla (\partial _t g) + \omega * (\partial_t g^{-1}\nabla g) $ by the definition of $\Gamma_{ij}^k$. Where is the wrong ?


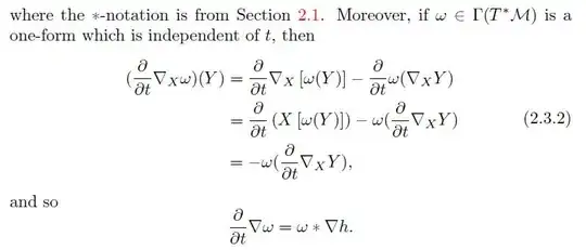
Pictures belos are from Topping's Lectures on the Ricci flow, where $h=\partial_t g$.

enter image description here

enter image description here

Enhao Lan
  • 5,829

1 Answers1

1

We have to start with the formula from Proposition 2.3.1 (p.28 in Topping's lectures): $$ \langle \tfrac{\partial}{\partial t} \nabla_{X}Y, Z \rangle = \tfrac{1}{2}[(\nabla_{Y}h)(X,Z) + (\nabla_{X}h)(Y,Z) - (\nabla_{Z}h)(X,Y)] $$ I will rewrite this formula using the abstract index notation, as in my opinion it clarifies the underlying meaning of the things much better, that the classical notation. So, here it is. $$ g_{b c} X^a Z^c \dot{\nabla}_a Y^b = \tfrac{1}{2}(X^b Y^a Z^c \nabla_a h_{b c} + X^a Y^b Z^c \nabla_a h_{b c} - X^b Y^c Z^a \nabla_a h_{b c}) \tag{1} $$

Here we are talking about a family of metrics $g = g(t)$ on a smooth manifold, $t$ is a real parameter from some interval, $\nabla = \nabla(t)$ is the family of Levi-Civita connections, corresponding to $g = g(t)$. At a fixed moment of $t$ we consider the derivatives $\tfrac{\partial}{\partial t}g =: h$ which we could also denote as $\dot{g}$, so that $\dot{\nabla}:= \tfrac{\partial}{\partial t} \nabla$ is a shorter notation for the $t$-derivative of the Levi-Civita connection$\nabla = \nabla(t)$.

The Riemannian metrics $g_{a b}$ are all non-degenerate, and therefore invertible, that is there are sections, denoted as $g^{a b}$, such that: $$ g^{a b} g_{b c} = \delta^a{}_c \tag{2} $$ where $\delta^a{}_b$ is a tensorial appearance of the identity operator, also known as Kronecker's symbol. Notice, that unlike $g$-s, the $\delta$ is constant, and, in particular, does not depend on $t$.

By the virtue of (2), the upper or lower position of the index is inessential in Riemannian geometry (cf. the musical isomorphisms), so that we can use $g^{a b}$ to get rid of the metric in the left hand side of (1). Furthermore, since the fields $X$, $Y$ and $Z$ are arbitrary, one can show (this is an exercise which can be performed by pure thought!), that (1) is equivalent to $$ \dot{\nabla}_a Y^b = (Y * \nabla h)_a{}^b \tag{3} $$ which is the Remark 2.3.3 in Topping's lectures (p.29 in my copy). See my answer regarding the meaning of $*$-notation.

More accurately, let us first rename the dummy indices in (1), so that all the right-hand side (RHS) fields $X$, $Y$ and $Z$ have the same indices as their peers in the left-hand side (LHS) of the equation: $$ g_{b c} X^a Z^c \dot{\nabla}_a Y^b = \tfrac{1}{2}(X^a Y^b Z^c \nabla_b h_{a c} + X^a Y^b Z^c \nabla_a h_{b c} - X^a Y^b Z^c \nabla_c h_{a b}) $$

We can now factor out $X$ and $Z$ on both sides:

$$ X^a Z^c (g_{b c} \dot{\nabla}_a Y^b) = X^a Z^c \big( \tfrac{1}{2}(Y^b \nabla_b h_{a c} + Y^b \nabla_a h_{b c} - Y^b \nabla_c h_{a b}) \big) $$

The fields $X$ and $Z$ are arbitrary, which implies that

$$ g_{b c} \dot{\nabla}_a Y^b = \tfrac{1}{2}(Y^b \nabla_b h_{a c} + Y^b \nabla_a h_{b c} - Y^b \nabla_c h_{a b}) $$

We can now use (2) to eliminate the metric on the LHS:

$$ g^{d c} g_{b c} \dot{\nabla}_a Y^b = \tfrac{1}{2} g^{d c} (Y^b \nabla_b h_{a c} + Y^b \nabla_a h_{b c} - Y^b \nabla_c h_{a b}) $$

which becomes

$$ \delta^{d}{}_{b} \dot{\nabla}_a Y^b = \tfrac{1}{2} g^{d c} (Y^b \nabla_b h_{a c} + Y^b \nabla_a h_{b c} - Y^b \nabla_c h_{a b}) $$

or

$$ \dot{\nabla}_a Y^d = \tfrac{1}{2} g^{d c} (Y^b \nabla_b h_{a c} + Y^b \nabla_a h_{b c} - Y^b \nabla_c h_{a b}) $$

and, renaming the indices one more time,

$$ \dot{\nabla}_a Y^b = \tfrac{1}{2} g^{b c} (Y^d \nabla_d h_{a c} + Y^d \nabla_a h_{d c} - Y^b \nabla_c h_{a d}) $$

we obtain an explicit expression for (3).

The equation (2.3.2) in the lectures gives a clear calculation (abstract indices are less helpful in this case) for the identity $$ (\tfrac{\partial}{\partial t} \nabla_{X}\omega)(Y) = - \omega(\tfrac{\partial}{\partial t} \nabla_{X} Y) $$

which we can rewrite with abstract indices and our above conventions as $$ X^a Y^b \dot{\nabla}_{a} \omega_b = - X^a \omega_b \dot{\nabla}_{a} Y^b $$

Observing, that $X$ is arbitrary, and substituting (3) to eliminate $\dot{\nabla}_{a} Y^b$ from the RHS, in a similar fashion as above, we extract the sought formula: $$ \dot{\nabla}_a \omega_b = (\omega * \nabla h)_{a b} \tag{4} $$

Yuri Vyatkin
  • 11,279
  • 1
    Sorry, I don't know why (1) is equivalent to (3). Besides, the Remark 2.3.3 in Topping's lecture is $\dot\nabla Y = Y * \nabla h$. – Enhao Lan Oct 08 '21 at 15:25
  • @lanse7pty you are right. I was in a hurry and made a few typos and mistakes. Unfortunately, I don't have much time to do these exercises nowadays. I fixed the typos and expanded the calculations. Please see if it is more clear for you now. – Yuri Vyatkin Oct 09 '21 at 02:00
  • Thanks, I understand you now. – Enhao Lan Oct 09 '21 at 13:59