This question is based on this post. Here is the question:
At $x=0$ , $\frac{\sin x}{x}$ has ____? (Options are maxima, minima, point of inflection, dicontinuity)
I have failed to draw a plausible conclusion from what the answers say and the chat discussion(very interesting) there.
Here are some of the points that I wish to clarify:
1) Is it relevant to talk about continuity at a point where a function isn't even defined(first, third answers ( * , *** ))?
2) How can one extend the domain of the function to remove this discontinuity
3) The original question does not talk about extending the domain of the function, so is answer 2 ( ** ) valid?
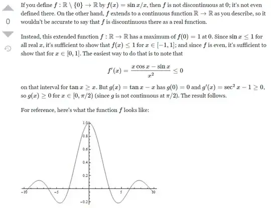
Pictures of answers for reference:


