Question.
Let $(a_n)$ be a complex sequence defined recursively: $$ a_0 = 0,\quad a_1=1, \quad a_{n}=\frac13(a_{n-1}+a_{n-2}+a_{n-1}a_{n-2})\quad (n>1) $$ What is $\displaystyle\limsup_{n\to\infty}\sqrt[n]{|a_n|}$?
Remarks.
This question is motivated by an unanswered question on the site that I am not able to solve. By the Cauchy-Hadamard theorem, the problem of finding the radius of convergence for the power series $f(z)=\sum_{n=0}^\infty a_nz^n$ reduces to the limit problem above. One can probably find some other way to figure out the radius of convergence, but I would like to focus on Cauchy-Hadamard and thus particularly the limit in the question.
One straightforward attempt is to find a closed-form formula for the sequence so that one may able to apply asymptotic techniques to analyze $|a_n|^{1/n}$. While there are systematic ways to handle the linear recurrence, I don't know how to handle this particular nonlinear case. The usual idea of "linearizing the nonlinear problem" seems not helpful here.
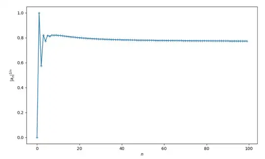
With help of the short Python script, I plotted the sequence $(|a_n|^{1/n})$. The result seems to suggest that the limit is $1$.

