1

I have highlighted the terms of this series which settle into a regular pattern. The first few terms do not follow the pattern, perhaps because the factorial in the numerator would have to take a negative argument, and the other sequence which occurs (readily identifiable as the third diagonal in Pascal’s triangle) would lie “outside of” Pascal’s triangle for the first three terms.

Should I perhaps split the first three terms into g(x), and treat the remainder of the series (in dark blue) as a separate function h(x), ie, f(x) = g(x) + h(x)?

Are there any suggestions for extracting a function for this series? the series

the motivation

  • I apologize, it’s 0. I just noticed and edited the picture. I meant to write 0!0. – Christopher Emery Dec 14 '21 at 23:14
  • 1
    Using WoframAlpha I get $f(x)=-1-x+\frac{x^2}2+\left(x-\frac 32\right)\cdot\log(1-x)$. – Pavel R. Dec 14 '21 at 23:25
  • @PavelR. There is a sign alternance so should be something in $\ln(1+x)$ instead, no ? – zwim Dec 14 '21 at 23:29
  • Yes, so should I analyze the sequence from the 4th term separately, and treat the first three terms as a quadratic which is added to the function? I’m wondering if this sequence can be expressed as a finite composition of elementary functions. – Christopher Emery Dec 14 '21 at 23:30
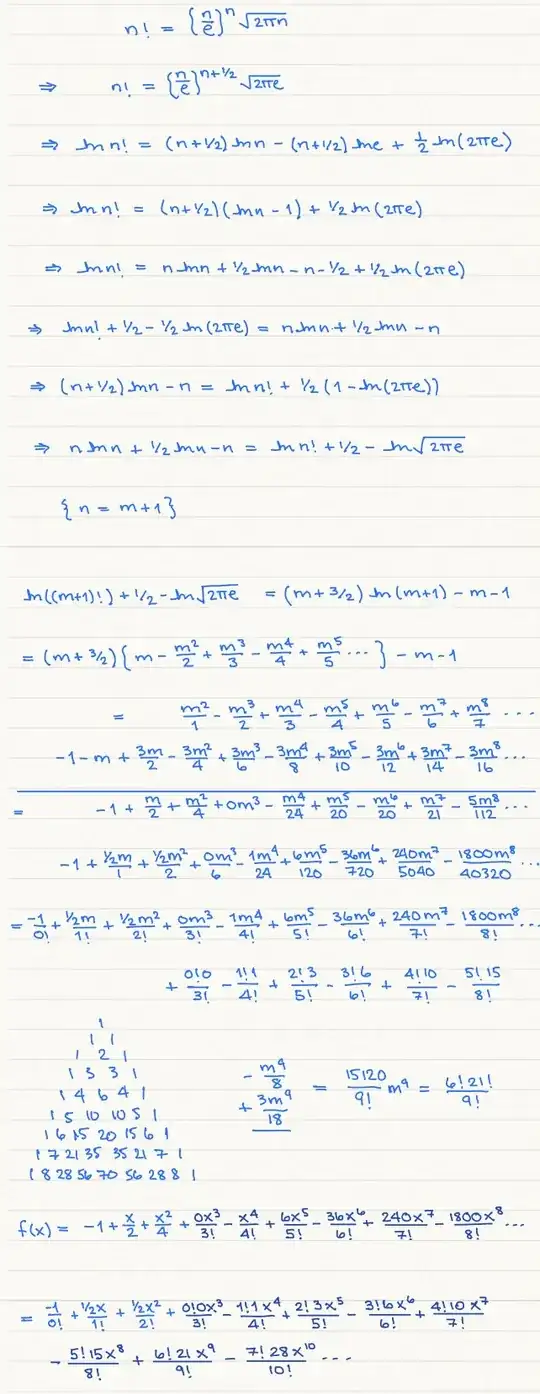
  • Well, I used the substitution n = x+1 in ln(n), hoping to deal with the shift later. Can I show you how I arrived at the sequence? I don’t know how to code the notation, but I can screenshot the page and post it. – Christopher Emery Dec 14 '21 at 23:35
  • @PavelR. But with the form xlnx, x can only be isolated with the Lambert W function. Unfortunately, that’s what I was hoping to avoid (somehow). – Christopher Emery Dec 15 '21 at 00:07
  • @zwim Of course, that's my mistake. – Pavel R. Dec 15 '21 at 07:40

1 Answers1

2

The sequence $\{1,36,10,15,21,28,\cdots\}$ is the triangular numbers $\frac{n(n+1)}2$.

So after shifting the indexes we get for $n\ge 3$

$$a_n=-\frac{(-1)^n(n-3)!}{n!}\times\frac{(n-3)(n-2)}{2}=\frac{(-1)^{n+1}(n-3)}{2n(n-1)}$$

We can ignore the first terms $g(x)=-1+\frac x2+\frac{x^2}4$ for the moment and concentrate on the series $h(x)=\sum\limits_{n=3}^\infty a_nx^n$ for now on.

Notice that by derivating twice $\left(\dfrac{x^n}{n(n-1)}\right)''$ we can get rid on the denominator.

$\displaystyle h''(x)=\left(\sum\limits_{n=3}^\infty a_nx^n\right)''=\frac 12\sum\limits_{n=3}^\infty (-1)^{n+1}(n-3)x^{n-2}=\frac 12\sum\limits_{n=0}^\infty (-1)^{n+4}nx^{n+1}$

We would like now to do the opposite, remark that if we factor out $x^2$ we get a group $(nx^{n-1})=(x^n)'$.

But we have to be careful about the first terms and treat them separately, before dividing by $x^2$.

$\displaystyle \begin{align}h''(x) &=0-\frac 12x^2+\frac 12\sum\limits_{n=2}^\infty (-1)^{n}nx^{n+1}\\ &=-\frac 12x^2+\frac 12x^2\sum\limits_{n=2}^\infty (-1)^{n}nx^{n-1}\\ &=-\frac 12x^2+\frac 12x^2\left(\sum\limits_{n=2}^\infty (-x)^n\right)'\\ &=-\frac 12x^2+\frac 12x^2\left(\dfrac{x^2}{1+x}\right)'\\ &=-\dfrac {x^2}{2(1+x^2)}\end{align}$

This integrates to:

$h'(x)=-\frac 12x+\dfrac {\frac 12}{1+x}+\ln(1+x)+C_1$

$h(x)=-\frac 14x^2+\frac 12\ln(1+x)+\Big[(1+x)\ln(1+x)-(1+x)\Big]+C_1x+C_2$


We have $h(x)=(C_2-1)+(C_1+\frac12)x+O(x^4)$ in a neighbourhood or zero.

This forces $C_2=1$ and $C_1=-\frac 12$ because we want $f(x)=g(x)+O(x^4)$.

Finally:

$$f(x)=\frac 12\ln(1+x)+(1+x)\ln(1+x)-(1+x)$$

zwim
  • 28,563
  • Note : reading your edited post during my redaction of this answer, it seems you searching for an inverse of the factorial ? If so look at this answer by robjohn --> https://math.stackexchange.com/a/2079043/399263 – zwim Dec 15 '21 at 00:51
  • Yes, precisely. But more precisely, I thought to examine the problem by way of power series, although it is universally accepted that no such closed form inverse exists. I can easily derive an inverse in terms of the Lambert W function, but then we’re right back to using numerical methods to evaluate the result. Thank you for your comprehensive, detailed solution nevertheless. – Christopher Emery Dec 15 '21 at 01:47