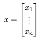
I'm struggling with this very simple gradient question.
Where...
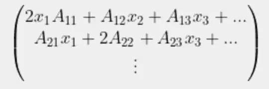
Now I've already been told the answer is Ax + b, but I can't work out how to get to the first term. Intuitively it looks like a quadratic equation, but when I go through the expansion of 1/2 xAx, for each element, then differentiate, I get left with:
Or in other words AIx + Ax
What am I missing?


