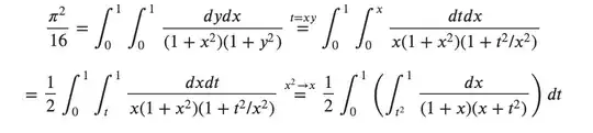
I do not understand the change of order of integration ($dtdx$ to $dxdt$, RHS second line). Why the $\frac{1}{2}$ term? Why do we integrate $x$ from $t$ to $1$?
Asked
Active
Viewed 99 times
3
-
this is from https://math.stackexchange.com/questions/8337/different-methods-to-compute-sum-limits-k-1-infty-frac1k2-basel-pro/3959007#3959007 the post with three likes and also to be found in Olaikhan's "The Harmonic Series and Logarithmic Integrals" 1.13.4 – Fortinbras Feb 05 '22 at 20:16
1 Answers
1
You are right. There shouldn't be a $1/2$ there. It should appear after the change $x^2\to x$.
The change in the integration limits is correct. To see why, draw the region of integration of both $\int_0^1\int_0^x f(x,t)\, dt\, dx$ and $\int_0^1\int_t^1 f(x,t)\, dx\, dt$.
jjagmath
- 18,214
