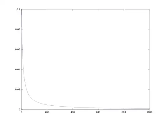
I am looking at the sequence $x_{n+1}=r\, x_n(1-x_n)$ where $r=1$.
Let's choose $x_1=1/2$ so as to make the sequence convergent to 0.
My question is: precisely how quickly does this sequence approach zero?
From my numerical experiments $\lim_{n\to\infty}n\,x_n=1$ seems likely. (That is $\mathrm O(1/n)$ convergence rate.) Do you have more precise result or some mathematical proof?
