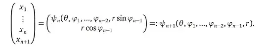
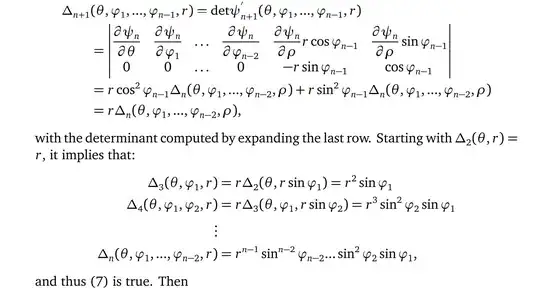
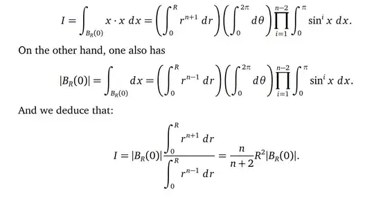
4

Here is the question I am trying to solve letter $(b)$ of it:

enter image description here

Here is a solution to it:

enter image description here enter image description here enter image description here enter image description here enter image description here enter image description here enter image description here

Which is a very very long solution. Does anyone have a more elegant and succinct solution please?

Brain
  • 1,003
  • My gut feeling tells me to use to spectral theorem. E.g. symmetrize the matrix by adding $M^Ty \cdot y$ and argue that the integral over this is the same as the integral over $My \cdot y$ and then use the spectral theorem to come up with simplified integrals. Since the matrices which make $M+M^T$ diagonal are orthogonal, a change of variables shouldnt be an issue. But I havent thought this through, it is just an idea. – F. Conrad Aug 23 '22 at 11:17
  • I actually do not know what is the spectral theorem, could you elaborate please? – Brain Aug 23 '22 at 14:02

2 Answers2

5

Some few notations/properties I use here:

  • $\partial B_1(0)$ denote the unit $n-$sphere of $\mathbb R^n$.

  • For $R>0$, I denote $B_R(0):=\{\sigma _r:=r\sigma \mid r\in (0,R), \sigma \in \partial B_1(0)\}$.

  • For $r>0$, I denote $\partial B_r(0):=\{\sigma _r:=r\sigma \mid \sigma \in \partial B_1(0)\}$

  • If $\sigma \in \partial B_1(0)$, in particular, $\sigma $ is a unit normal vector of $\partial B_1(0)$. An infinitesimal area of $\partial B_1(0)$ is denoted by $\mathrm d \sigma$.

  • Similarly, if $r>0$ is fixed, then $\mathrm d \sigma _r$ denote an infinitesimal area of $\partial B_r(0)$.

  • Finally, one can prove that if $r>0$ is fixed, then $$\mathrm d \sigma _r= \mathrm d (r\sigma )=r^{n-1}\,\mathrm d \sigma .$$

Therefore \begin{align*} \frac{1}{|B_R(0)|}\int_{B_R(0)}My\cdot y\,\mathrm d y &\underset{\text{Fubini}}{=}\frac{1}{|B_R(0)|}\int_0^R\int_{\partial B_r(0)}M(r\sigma )\cdot (r\sigma )\,\mathrm d \sigma _r\,\mathrm d r\\ &\underset{\mathrm d \sigma _r=r^{n-1}\mathrm d \sigma }{=}\frac{1}{|B_R(0)|}\int_0^R\int_{\partial B_1(0)}r^{n+1}M\sigma \cdot \sigma \,\mathrm d \sigma \,\mathrm d r\\ &=\frac{1}{|B_R(0)|}\left(\int_0^Rr^{n+1}\,\mathrm d r\right)\left(\int_{\partial B_1(0)}M\sigma \cdot \sigma \,\mathrm d \sigma\right)\\ &=\frac{1}{|B_R(0)|}\cdot \frac{R^{n+2}}{n+2}\int_{\partial B_1(0)}M\sigma \cdot \sigma \,\mathrm d \sigma\\ &\underset{\text{div. Thm.}}{=}\frac{1}{|B_R(0)|}\cdot \frac{R^{n+2}}{n+2}\int_{B_1(0)}\text{Tr}(M)\,\mathrm d x\\ &=\frac{1}{|B_R(0)|}\cdot \frac{R^{n+2}}{n+2}\cdot \text{Tr}(M)\cdot |B_1(0)|\\ &\underset{|B_R(0)|=R^n|B_1(0)|}{=}\frac{R^2}{n+2}\cdot \text{Tr}(M), \end{align*}

as wished.

Surb
  • 55,662
2

$ \def\b{\beta}\def\J{{\cal J}} \def\LR#1{\left(#1\right)} \def\vecc#1{\operatorname{vec}\LR{#1}} \def\diag#1{\operatorname{diag}\LR{#1}} \def\Diag#1{\operatorname{Diag}\LR{#1}} \def\trace#1{\operatorname{Tr}\LR{#1}} $Write the problem as $$\eqalign{ \J = \int y^TMy\:dy = \int M:yy^T\:dy = M:\left[\int yy^T dy\right] \\ }$$ where the constant $M$ matrix has been pulled out of the integral and the matrix inner product $(:)$ has been introduced $$\eqalign{ A:B &= \sum_{i=1}^m\sum_{j=1}^n A_{ij}B_{ij} \;=\; \trace{A^TB} \\ A:A &= \|A\|^2_F \\ }$$ Applying the methods of this post, the remaining integral must yield an isotropic $2^{nd}$ order tensor, i.e. it must be a multiple of the identity matrix $$\eqalign{ \J = M:\Big[\b I\Big] = \b\,\trace{M} \\ }$$ The normalization factor $\b$ is a function of the surface area of the $n$-sphere as shown in the linked post $$\eqalign{ \b = \frac{S_n}{n^2+2n} \\ }$$

greg
  • 35,825