4

$$\int_{0}^{\infty}{\frac{\log(x)}{x^2+4}}dx$$

-from the book Advanced Problems in Mathematics by Vikas Gupta

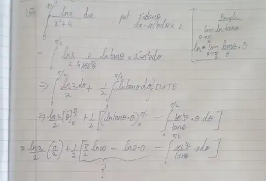
So I tried to solve this integral by substituting $x=2\tan\theta$ so that we get the upper limit as ${\frac{\pi}{2}}$ in addition to the ability to use the formula $\log(ab)=\log a + \log b$ in the numerator. But after few manipulations I ended up with this my workout

Could you kindly advise on how to proceed further as I got $\log(\infty)$ when I used integration by parts. Also if there is a cleverer way to do this, I would love to know it!

2 Answers2

5

Write, $$I=\displaystyle \int_0^\infty \frac{\ln x}{x^2+4}\mathrm{d} x$$

Notice \begin{eqnarray} I &= \int_0^1 \frac{\ln x}{x^2+4}\mathrm{d} x + \int_1^{\infty} \frac{\ln x}{x^2+4}\mathrm{d} x \\ &= G + H \end{eqnarray} Now \begin{eqnarray} G &= \int_0^1 \frac{\ln x}{x^2+4}\mathrm{d} x \\ &= \frac{1}{4} \int_0^1 \frac{\ln x}{\left(\frac{x}{2}\right)^2+1}\mathrm{d}x \\ &= \frac{1}{4} \int_0^1 \frac{\ln x - \ln 2+ \ln 2}{\left(\frac{x}{2}\right)^2+1}\mathrm{d}x \\ &= \frac{1}{4} \int_0^1 \frac{\ln x - \ln 2}{\left(\frac{x}{2}\right)^2+1}\mathrm{d}x + \frac{\ln 2}{4} \int_0^1 \frac{1}{\left(\frac{x}{2}\right)^2+1}\mathrm{d}x \\ &= G_1 + G_2 \end{eqnarray}

Further \begin{eqnarray} G_1 &= \int_0^1 \frac{\ln(x/2)dx}{\left(\frac{x}{2}\right)^2+1} \end{eqnarray}

Let $x/2 = y$ thus \begin{eqnarray} G_1 &= \frac{1}{4}\int_0^1 \frac{\ln y}{y^2+1}\mathrm{d}y \\ &= -\frac{1}{4}\int_1^\infty \frac{\ln u}{u^2+1}\mathrm{d}u \end{eqnarray} Where the last step was achieved by writing $u=1/y$.

Meanwhile back at the ranch, \begin{eqnarray} G_2 &= \frac{\ln 2}{4}\int_0^1 \frac{1}{1+u^2}\mathrm{d}u \\ &= \frac{\ln 2}{2} \tan^{-1}\left(\frac{1}{2}\right) \end{eqnarray}

Since I have many dummy variables, the result for $G_1 = -H$ and thus the final answer is $G_2$ above for the initial $I$. Hence

$$\displaystyle \int_0^\infty \frac{\ln x}{x^2+4}\mathrm{d} x = \frac{\ln 2}{2} \tan^{-1}\left(\frac{1}{2}\right)$$

0

If you are interested in an answer using contours, here it is.

Let $f(z)=\ln^2(z)/(z^2+4)$. I will use the branch of the logarithm with the cut along the positive real axis, i.e, $0<\arg (z)<2\pi$, and a keyhole contour $\mathcal{C}$ surrounding $[0,+\infty)$ in a counter-clockwise sense. The contributions from the big outer cirlce and small inner circle vanish so we have from the definition of a complex logarithm $\ln(z)=\ln{|z|}+i\arg(z)$, $$\begin{align*} \int_{\mathcal{C}}\frac{\ln^2(z)}{z^2+4}\ dz&=\int_{0}^{+\infty}\frac{\ln^2(x)}{x^2+4}\ dx+\int_{+\infty}^0\frac{(\ln(x)+2\pi i)^2}{x^2+4}\ dx \\ &=\int_0^{+\infty}\frac{4\pi^2-2\pi i\ln(x)}{x^2+4}\ dx \end{align*}$$ Write $I$ for the integral above. Notice that the integral we are looking for is the imaginary part of $I$ multiplied by a factor of $-1/2\pi$. $$\int_0^{+\infty}\frac{\ln x}{x^2+4}\ dx=-\frac{1}{2\pi}\text{Im}(I)$$

Now, the Residue theorem implies, $$\int_{\mathcal{C}}\frac{\ln^2(z)}{z^2+4}\ dz=2\pi i\left[\text{Res}(f,2i)+\text{Res}(f,-2i)\right]$$ and we can compute the residues by hand. At $z=2i$ there is a simple pole, $$\text{Res}(f,2i)=\lim_{z\to2i}(z-2i)f(z)=\frac{\pi \ln(2)}{8}+\frac{\pi^2-16\ln^2(2)}{64}i$$ and at $z=-2i$ the pole is simple too. $$\text{Res}(f,-2i)=\lim_{z\to-2i}(z+2i)f(z)=-\frac{3\pi\ln(2)}{8}+\frac{16\ln^2(2)-9\pi^2}{64}i$$ Adding these contributions, $$I=\int_{\mathcal{C}}\frac{\ln^2(z)}{z^2+4}\ dz=2\pi i\left(-\frac{\pi\ln(2)}{4}-\frac{\pi^2}{8}i\right)=\frac{\pi^3}{4}-\frac{\pi^2\ln(2)}{2}i$$ Thus, $$\begin{align*} \int_0^{\infty}\frac{\ln x}{x^2+4}\ dx&=-\frac{1}{2\pi}\text{Im}\left(\frac{\pi^3}{4}-\frac{\pi^2\ln(2)}{2}i\right) \\ &=-\frac{1}{2\pi}\left(-\frac{\pi^2\ln(2)}{2}\right) \\ &=\frac{\pi }{4}\ln(2). \end{align*}$$

bob
  • 2,167