
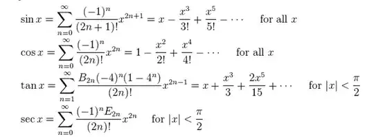
Any proof or derivation for the sinx and cosx function would be help. Image taken from http://en.wikipedia.org/wiki/Taylor_series

Any proof or derivation for the sinx and cosx function would be help. Image taken from http://en.wikipedia.org/wiki/Taylor_series
You can find proofs in this book. (chapter 6 for $\tan(x)$ and $\sec(x)$). For $\sin(x)$ and $\cos(x)$ you must use Taylor theorem.