22

Is there a closed form (possibly, using known special functions) for the Fourier transform of the function $f(x)=\left|\frac{\sin x}{x}\right|$?

$\hspace{.7in}$abs(sin x/x)

I tried to find one using Mathematica, but it ran for several hours without producing any result.

  • 1
    Your function is like $\left| \frac{1}{x} \right|$ so I'm not sure the integral converges in the usual sense. I'm not sure what exactly you did in Mathematica, but it might be worth it to try the integral again with some kind of "convergence factor" like $e^{-\eta x^2}$ and then take the limit that the new function approaches the one you're interested in. – Kevin Driscoll Oct 12 '13 at 21:20
  • Yeah, if you go to wolframalpha and type "fourier transform abs(sin x / x)" you'll get computation time exceeded – Hassan Hayat Oct 12 '13 at 22:02

3 Answers3

35

Since $\left|\frac{\sin(x)}{x}\right|$ is not in $L^1$, there is no Fourier transform in the strict sense. However, we can get a Fourier transform in the sense of distributions (via Plancherel's Theorem).

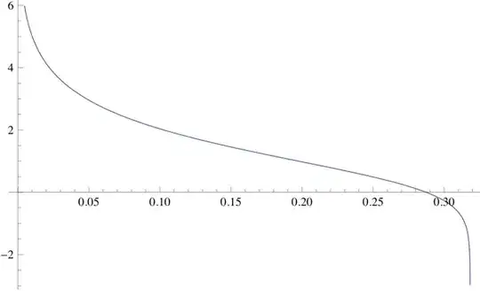
The standard result about the sinc function is that $$ \int_{-\infty}^\infty\frac{\sin(ax)}{ax}e^{-2\pi ix\xi}\,\mathrm{d}x =\frac\pi{a}\left[|\xi|\le\frac{a}{2\pi}\right]\tag{1} $$ where $[\,\cdot\,]$ are Iverson brackets. $$ \int_{-\infty}^\infty\frac{\sin(2(k+1)\pi^2x)-\sin(2k\pi^2x)}{\pi x}e^{-2\pi ix\xi}\,\mathrm{d}x =\Big[k\pi\le|\xi|\le (k+1)\pi\Big]\tag{2} $$ Note that $$ \mathrm{sgn}\left(\frac{\sin(x)}{x}\right)=\sum_{k=0}^\infty(-1)^k\Big[k\pi\le|\xi|\le (k+1)\pi\Big]\tag{3} $$ Combining $(2)$ and $(3)$ yields the Fourier transform of $\mathrm{sgn}\left(\frac{\sin(x)}{x}\right)$ in the sense of distributions $$ \begin{align} &\sum_{k=0}^\infty(-1)^k\frac{\sin(2(k+1)\pi^2x)-\sin(2k\pi^2x)}{\pi x}\\ &=\frac2{\pi x}\sum_{k=0}^\infty(-1)^k\sin(2(k+1)\pi^2x)\\ &=\frac{\tan(\pi^2x)}{\pi x}\tag{4} \end{align} $$ Since the Fourier transform of a product is the convolution of the Fourier transforms, the Fourier transform of $\left|\frac{\sin(x)}{x}\right|$ is the convolution $$ \left[|\xi|\le\frac1{2\pi}\right]\ast\frac{\tan(\pi^2\xi)}{\xi} =\mathrm{PV}\int_{\xi-\frac1{2\pi}}^{\xi+\frac1{2\pi}}\frac{\tan(\pi^2t)}{t}\,\mathrm{d}t\tag{5} $$ using the Cauchy Principal Value in $(5)$.


Plots of the Fourier Transform:

$\hspace{8mm}$enter image description here

$\hspace{5mm}$enter image description here

robjohn
  • 345,667
  • 1
    Awesome! I shall bookmark this answer – Hassan Hayat Oct 13 '13 at 03:45
  • 2
    I would upvote twice if I could: one for the great job on computing the Fourier transform and presenting it; and another one for pointing to Iverson's bracket and so, ultimately, to this interesting article by Donald Knuth. – Giuseppe Negro Oct 14 '13 at 17:41
  • +1 great, which software did u use for the, uh, plots? – user153330 Nov 22 '15 at 15:52
  • @user153330: I used Mathematica to do the computation and plotting. I did some scaling of the image using Graphic Converter. – robjohn Nov 22 '15 at 17:18
  • What's the asymptotic behavior of the Fourier transform near its discontinuities at the ends of the interval $0<\xi<\frac1\pi$? – Vladimir Reshetnikov Mar 18 '21 at 16:11
  • Near $\xi=\frac k\pi$, it should look like $\frac{4}{\pi\left(4k^2-1\right)}\log\left|\xi-\frac k\pi\right|$. – robjohn Mar 18 '21 at 17:00
  • @robjohn, this result is amazing. Since squaring |sinc(x)| results in sinc^2(x), it implies (hopefully I am right about this) that the Fourier transform you plotted when convolved with itself should result in a triangle function (the Fourier transform of sinc^2). It is difficult to intuitively imagine how such an infinitely spread function when convolved with itself results in a triangle function(which means that the convolution integral with shift larger than a particular value results in an area under the curve equals zero, no matter how larger the shift is). Any hints? – Srini Mar 01 '24 at 17:36
4

$\newcommand{\abs}[1]{\left\vert #1\right\vert}% \newcommand{\ic}{{\rm i}}$ We didn't calculate the Fourier transform the OP asked for. We just calculate its derivative. It turns out that it has singularities at $k =0, \pm 1, \pm 2, \pm 4, \pm 6,\ldots$. We believe this is the root of problems which makes hard to evaluates the Fourier transform mentioned above. We hope somebody else can take from our final result.

\begin{align} \phi\left(k\right) &\equiv \int_{-\infty}^{\infty}\abs{\sin\left(x\right) \over x}\,{\rm e}^{-\ic kx} \,{\rm d}x = 2\int_{0}^{\infty}{\abs{\sin\left(x\right)} \over x}\,\cos\left(kx\right) \,{\rm d}x \\[3mm] \phi'\left(k\right) &= -2\int_{0}^{\infty}\abs{\sin\left(x\right)}\sin\left(kx\right) \,{\rm d}x\,, \end{align}

$\abs{\sin\left(x\right)}\quad$ is periodic $\left(~\mbox{of period}\ \pi~\right)$: $\abs{\sin\left(x\right)} = \sum_{n = -\infty}^{\infty}A_{n}\cos\left(2nx\right)$ with $$ \int_{-\pi/2}^{\pi/2}\cos\left(2mx\right)\cos\left(2nx\right)\,{\rm d}x = {\pi \over 2}\,\delta_{mn} $$

$$ A_{n} = {2 \over \pi}\int_{-\pi/2}^{\pi/2}\abs{\sin\left(x\right)}\cos\left(2nx\right) \,{\rm d}x = {4 \over \pi}\,{1 \over 1 - 4n^{2}} = -\,{1 \over \pi}\,{1 \over n^{2} - 1/4} $$

Then,

\begin{align} \phi'\left(k\right) &= -2\sum_{n = -\infty}^{\infty}A_{n}\int_{0}^{\infty}\cos\left(2nx\right)\sin\left(kx\right) \,{\rm d}x \\[3mm]&= -\,\Im\sum_{n = -\infty}^{\infty} A_{n}\int_{0}^{\infty}\left[% {\rm e}^{\ic\left(k - 2n\right)x} + {\rm e}^{\ic\left(k + 2n\right)x} \right]\,{\rm d}x \\[3mm]&= -\,\Im\sum_{n = -\infty}^{\infty}A_{n}\left[% {-1 \over \ic\left(k - 2n\right) - 0^{+}} + {-1 \over \ic\left(k + 2n\right) - 0^{+}} \right] \\[3mm]&= -\,\Im\sum_{n = -\infty}^{\infty}A_{n}\left(% {-\ic \over 2n - k - \ic 0^{+}} + {\ic \over 2n + k + \ic 0^{+}} \right) \\[3mm]&= {1 \over 2}\Re\sum_{n = -\infty}^{\infty}A_{n}\left(% {1 \over n - k/2 - \ic 0^{+}} - {1 \over n + k/2 + \ic 0^{+}} \right) \\[3mm]&= -\,{1 \over 2\pi}{\cal P}\,k\sum_{n = -\infty}^{\infty} {1 \over n^{2} - 1/4}\,{1 \over n^{2} - \left(k/2\right)^{2}} \\[3mm]&= -\,{1 \over 2\pi}{\cal P}\,\left[% {16 \over k} + 2k\sum_{n = 0}^{\infty} {1 \over n^{2} - 1/4}\,{1 \over n^{2} - \left(k/2\right)^{2}} \right] \\[3mm]&= -\,{1 \over 2\pi}{\cal P}\,\left\{% {16 \over k} - {8k \over k^{2} - 1}\sum_{n = 0}^{\infty}\left[% {1 \over n^{2} - 1/4} - {1 \over n^{2} - \left(k/2\right)^{2}} \right]\right\} \end{align}
\begin{align} \sum_{n = 0}^{\infty}{1 \over n^{2} - a^{2}} &= \sum_{n = 0}^{\infty}{1 \over \left(n + \abs{a}\right)\left(n - \abs{a}\right)} = {\Psi\left(\abs{a}\right) - \Psi\left(-\abs{a}\right) \over 2\abs{a}} \\[3mm]&= {1 \over 2\abs{a}}\left\{% \Psi\left(\abs{a}\right) - \Psi\left(1 + \abs{a}\right) + \pi\cot\left(\pi\left[-\abs{a}\right]\right) \right\} = {1 \over 2\abs{a}}\left[% -\,{1 \over \abs{a}} - \pi\cot\left(\pi\abs{a}\right) \right] \end{align}
$$ \sum_{n = 0}^{\infty}{1 \over n^{2} - a^{2}} = -\,{1 \over 2a^{2}}\left[% 1 + {\pi a \over \tan\left(\pi a\right)}\right]\,, \qquad a \not\in {\mathbb Z} $$
$$ \sum_{n = 0}^{\infty}{1 \over n^{2} - 1/4} = -2\,, \qquad \sum_{n = 0}^{\infty}{1 \over n^{2} - \left(k/2\right)^{2}} = -\,{2 \over k^{2}}\left[1 + {\pi k/2 \over \tan\left(\pi k/2\right)}\right] $$
\begin{align} \phi'\left(k\right) &= -\,{1 \over 2\pi}{\cal P}\,\left[% {16 \over k} + {16k \over k^{2} - 1} - {16 \over k}\,{1 \over k^{2} - 1} - {16 \over k}\,{1 \over k^{2} - 1}\,{\pi k/2 \over \tan\left(\pi k/2\right)} \right] \end{align}
\begin{align} \phi'\left(k\right) &= -\,{1 \over 2\pi}{\cal P}\,\left[% {32k \over k^{2} - 1} - {16 \over k}\,{1 \over k^{2} - 1}\,{\pi k/2 \over \tan\left(\pi k/2\right)} \right] \end{align}

We can observe that $\phi'\left(k\right)$ diverges at $k$ values: $$ k = 0, \pm 1, \pm 2, \pm 4, \pm 6,\ldots $$

Felix Marin
  • 89,464
  • 5
    Did you miss the absolute modulus? Whatever problems Mathematica has, the Fourier transform of $\dfrac{\sin x}{x}$ is extremely unlikely to be one of them. The Fourier transform of $\left\lvert \dfrac{\sin x}{x}\right\rvert$ is an entirely different beast. – Daniel Fischer Oct 13 '13 at 00:42
  • @DanielFischer Between "without absolute modulus" and "with absolute modulus" I left to have dinner. Sorry about that. – Felix Marin Oct 13 '13 at 01:32
  • 1
    Erm, $\lvert f(x)\rvert$ and $[2\Theta(x)-1]f(x)$ are not the same. If we were dealing with complex valued functions, it would be more complicated, but for real-valued $f$ you'd still have $\lvert f(x)\rvert = [2\Theta (f(x)) - 1] f(x)$. – Daniel Fischer Oct 13 '13 at 01:39
  • @DanielFischer You are right. It was my horrible mistake. Dinner conspiracy !!!. I'll check everything. Thanks. – Felix Marin Oct 13 '13 at 01:44
0

The more I think about, the more I think that there's no chance of there being a closed form version of the fourier transform of $|\frac{sin x}{x}|$

Look here:

How can you prove that a function has no closed form integral?

If we follow the steps indicated by the answer to this question, we have to say:

$F(\omega) = \int^{+\infty}_{-\infty} f(x) e^{-2i\pi\omega x} dx$ where $f(x) = |\frac{sin x}{x}| $

In order for this integral to have a closed form, we need to find some rational function $h(x)$ which satisfies:

$h'(x) + h(x)g(x) = f(x)$

where $f(x) = |\frac{sin x}{x}| $ and $g(x) = -2i\pi\omega x$

So, if you take $h' + gh = f$ and apply old school integrating factor to it you get the following:

$h(x) = \frac{\int e^{-\pi\omega x^2} |\frac{sin x}{x}| dx}{e^{-\pi\omega x^2}}$

and, between you and me, $h(x)$ does not look like a rational function to me: http://en.wikipedia.org/wiki/Rational_function

I hope I'm wrong because $f(x)$ looks so nice and wavy. It just looks so fourierable to me. It's like, if we can't describe this simple wave as a fourier series without discretizing, then what can we describe as a fourier series?

Hassan Hayat
  • 1,234
  • Between you and me, in the spirit of your reasoning, why would the Fourier transform exist for $f_1(x) = \frac{sin x}{x} dx$ but not for $f_2(x) = |\frac{sin x}{x}| dx$? –  Oct 13 '13 at 03:05
  • sure, $\frac{sin x}{x}$ has a closed form Fourier transform but the absolute value is weird. The problem is that the function $\frac{sin x}{x}$ has weird intervals where it changes from positive to negative. It sounds like it shouldn't be a problem, but because of it, you cant cleanly multiply the sin part with the complex exponential part. (even after you write the sine as a complex exponential) Look at this: http://math.stackexchange.com/questions/281870/fourier-transform-of-frac-sinxx Scroll a bit until you get to a long response. At one point, sin is split in order to split the integrals – Hassan Hayat Oct 13 '13 at 03:06
  • I admit, I haven't proven anything. I'm just saying that I doubt you could get a closed form integral out of $|\frac{sin x}{x}|$ – Hassan Hayat Oct 13 '13 at 03:09
  • Oh, and to clarify, the Fourier transform exists for the function, just not in closed form. – Hassan Hayat Oct 13 '13 at 03:11
  • 1
    I understand that you haven not claimed a complete proof. Even so, this condition of "closed form integral" might be too restrictive here. Let us simplify the whole thing, by putting $f(x)=|x|$ and $g(x)=0$. Then according to the method you cite, $f(x)$ does not have an integral in a closed form expression. But we can write down an expression without too much trouble, regardless. –  Oct 13 '13 at 03:17
  • 1
    @TheSeamau5 It looks to me like the question you referred us to did offer the Fourier coefficients -- I haven't gone over it in detail to see if I agree. What you consider "closed form" depends on who you are. – Betty Mock Oct 13 '13 at 03:17
  • @Doldrums sinx/x is smaller than |sinx/x| because it has lots of negative terms. However I thought to be L1 we need |sinx/x| to be integrable, whereas for L2 we need $sin^2x/x^2$ to be integrable. – Betty Mock Oct 13 '13 at 03:19
  • @BettyMock good point. I dunno if it is a good way to classify functions as closed form or not, but to me, as soon as I see an integral I don't call it closed form. I mean, technically there's nothing wrong with it. But i just found it a bit lacking to just say that the fourier transform of $\frac{sin x}{x}$ is just the fourier transform of $\frac{sin x}{x}$. I kinda wanted to find something of the form $2x + e^x sin x$... you know... something simple and easy. – Hassan Hayat Oct 13 '13 at 03:31
  • @Doldrums hmmm... that's interesting. I feel dumb not trying the piecewise route. I wonder how we could attack it. I'm betting the final answer will have quite a few $sign(sin x)$ and $sign(x)$ – Hassan Hayat Oct 13 '13 at 03:34
  • @BettyMock: Indeed. I overlooked the convergence issues during the excitement. Thanks for pointing them out. Nevertheless, lack of convergence of integral does not rule out the existence of Fourier Transforms; the constant function $1$ has the Dirac delta "function" $\delta(x)$ as the Fourier transform. –  Oct 13 '13 at 03:37
  • 1
    @TheSeamau5: No need to feel dumb. It was an interesting discussion. Rather than a piece-wise result, you might obtain something involving the generalized functions such as Dirac delta. Have a look here for the computation of Fourier transform of $|x|$ : http://www.thefouriertransform.com/pairs/absT.php ... –  Oct 13 '13 at 03:44
  • Awesome. Thanks. It was an interesting discussion. I love math stackexchange. I always feel like I learn stuff – Hassan Hayat Oct 13 '13 at 03:48