I borrowed the ideas from the following books.
Abelian categories with application to rings and modules by Popescu, 1973.
Theory of categories by Mitchell, 1964.
Notations and Conventions
We fix a Grothendieck universe $\mathcal{U}$.
We consider only categories which belong to $\mathcal{U}$.
Let $\mathcal{C}$ be a category.
We denote by Ob($\mathcal{C}$) the set of objects of $\mathcal{C}$.
Often, by abuse of notation, we use $\mathcal{C}$ instead of Ob($\mathcal{C}$).
We denote by Mor($\mathcal{C}$) the set of morphisms of $\mathcal{C}$.
Let $f:X \rightarrow Y$ be a morphism of $\mathcal{C}$.
We denote by dom($f$) the domain of $f$, i.e. $X$ = dom($f$).
We denote by codom($f$) the codomain of $f$, i.e. $Y$ = codom($f$).
Definition
Let $\mathcal{C}$ be a category.
Let $X$ be an object of $\mathcal{C}$.
Let $I$ be a small set.
Let $(X_i)_I$ be a family of subobjects of $X$.
If $(X_i)_I$ satisfies the following condition, $(X_i)_I$ is called a directed family of subobjects of $X$.
For any $i, j \in I$, there exists $k \in I$ such that $X_i \subset X_k$ and $X_j \subset X_k$.
Lemma 1
Let $\mathcal{A}$ be a cocomplete abelian category.
Let $I$ be a small category.
Let $F: I \rightarrow \mathcal{A}$ be a functor.
Let $A$ = colim $F$.
For each $i \in I$, let $f_i:F(i) \rightarrow A$ be the canonical morphism.
For each $i \in I$, let $A_i$ = Im($f_i$).
Since $\mathcal{A}$ is cocomplete, $\sum A_i$ exists.
Then $A = \sum A_i$.
Proof:
Let $B = \sum A_i$.
Let $m:B \rightarrow A$ be the canonical monomorphism.
Since $A_i$ = Im($f_i$) for each $i \in I$,
there exists $g_i:F(i) \rightarrow B$ such that $f_i = mg_i$.
Let $u: i \rightarrow j$ be a morphism of I.
Since $f_i = f_jF(u)$, $mg_i = mg_jF(u)$.
Since $m$ is a monomorphism, $g_i = g_jF(u)$.
Hence there exists $g:A \rightarrow B$ such that $g_i = gf_i$ for each $i$.
Hence $mgf_i = mg_i = f_i$ for each $i$.
Hence $mg = 1_A$.
Hence $A \subset B$.
Hence $A = B$.
QED
Lemma 2
Let $\mathcal{C}$ be a cocomplete category.
Let I be a small category.
Let $\mathcal{C}^I$ be the category of functors: $I \rightarrow \mathcal{C}$.
Then colim$: \mathcal{C}^I \rightarrow \mathcal{C}$ preserves colimits.
Proof:
Let $\Delta: \mathcal{C} → \mathcal{C}^I$ be the diagonal functor,
i.e. for each $X \in \mathcal{C}$ and for each $i \in I$, $\Delta(X)(i) = X$.
Since colim is a left adjoint functor of $\Delta$, it preserves colimits(MacLane: Categories for the working mathematician, Chapter V, Section 5, Theorem 1, p.114).
QED
Lemma 3
Let $\mathcal{A}$ be a cocomplete abelian category which satisfies (AB5).
Let $X$ be an object of $\mathcal{A}$.
Let I be a small filtered category.
Let Sub($X$) be the category of subobjects of $X$.
Let $F: I \rightarrow$ Sub($X$) be a functor.
Then $\sum F(i)$ = colim $F$.
Proof:
For each $i \in I$, Let $u_i:F(i) \rightarrow$ colim $F$ be the canonical morphism.
For each $i \in I$, Let $m_i:F(i) \rightarrow X$ be the canonical monomorphism.
Since $(m_i)_I$ is a cocone, it induces a morphism $f$: colim $F \rightarrow X$.
By (AB5), $f$ is mono.
Hence we can regard colim $F$ as a subobject of $X$.
Since $fu_i = m_i$ for each $i$, $F(i) \subset$ colim $F$.
Let $Z$ be a subobject of $X$.
Let $r: Z \rightarrow X$ be the canonical monomorphism.
Suppose $F(i) \subset Z$ for each $i$.
Let $k_i: F(i) \rightarrow Z$ be the canonical monomorphism.
Since $(k_i)_I$ is a cocone, it induces a morphism $g$: colim $F \rightarrow Z$.
For each $i \in I$, $rgu_i = rk_i = m_i$.
Hence $f = rg$.
Hence colim $F \subset Z$.
QED
Lemma 4
Let $\mathcal{A}$ be a cocomplete abelian category.
Let $f:X \rightarrow Y$ be a morphism of $\mathcal{A}$.
Let $I$ be a small set.
Let $(X_i)_I$ be a family of subobjects of $X$.
Then $\sum f(X_i) = f(\sum X_i)$.
Proof:
For each $i \in I$, $X_i \subset \sum X_i$.
Hence $f(X_i) \subset f(\sum X_i)$.
Let $Z$ be a subobject of $X$.
Suppose $f(X_i) \subset Z$ for each $i$.
Then $f^{-1}(f(X_i)) \subset f^{-1}(Z)$.
Since $X_i \subset f^{-1}(f(X_i))$, $X_i \subset f^{-1}(Z)$.
Hence $\sum X_i \subset f^{-1}(Z)$.
Hence $f(\sum X_i) \subset f(f^{-1}(Z)) \subset Z$.
QED
Lemma 4.5
Let $\mathcal{A}$ be a cocomplete abelian category.
Let $I$ be a small category.
Let $F: I \rightarrow \mathcal{A}$ be a functor.
Let $X$ = colim $F$.
Let $(s_i: F(i) \rightarrow Y)_I$ be a cocone.
Let $f:X \rightarrow Y$ be the morphism induced by the cocone.
Then $f(X) = \sum s_i(F(i))$.
Proof:
For each $i$, let $u_i: F(i) \rightarrow X$ be the canonical morphism.
For each $i$, $fu_i = s_i$.
Hence $f(u_i(F(i)) = s_i(F(i)) \subset f(X)$.
Let $Z$ be a subobject of $Y$.
Suppose $s_i(F(i)) \subset Z$ for each $i$.
For each $i$, $s_i$ induces $t_i: F(i) \rightarrow Z$.
Since $(t_i: F(i) \rightarrow Z)_I$ is a cocone,
it induces $g:X \rightarrow Z$.
Let $m: Z \rightarrow Y$ be the canonical monomorphism.
$mgu_i = mt_i = s_i$ for each i.
Hence $f = mg$.
Hence $f(X) \subset Z$.
QED
Lemma 5
Let $\mathcal{A}$ be a cocomplete abelian category.
Let $X$ be an object of $\mathcal{A}$.
Let $I$ be a small set.
Let $(X_i)_I$ be a family of subobjects of $X$.
Then $\bigoplus X/X_i$ = $X/(\sum X_i)$.
Proof:
For each $i \in I$, the following sequence is exact.
$0 \rightarrow X_i \rightarrow X \rightarrow X/X_i \rightarrow 0$.
By Lemma 2, colim preserves cokernels.
Hence, colim $X_i \rightarrow X \rightarrow$ colim $X/X_i \rightarrow 0$ is exact.
By Lemma 4.5, Im(colim $X_i \rightarrow X$) = $\sum X_i$.
Hence colim $X/X_i$ = $X/(\sum X_i)$.
QED
Lemma 5.4
Suppose the following is a pullback diagaram in an abelian category.
$$\begin{matrix}
A&\stackrel{f}{\rightarrow}&B\\
\downarrow&&\downarrow\\
C&\stackrel{h}{\rightarrow}&D
\end{matrix}
$$
Suppose the following sequence is exact.
$0 \rightarrow C \stackrel{h}{\rightarrow}D \rightarrow E$
Then $0 \rightarrow A \stackrel{f}{\rightarrow}B \rightarrow E$ is exact.
Proof: Left to the readers.
Lemma 5.5
Consider the following commutative diagram with two horizontal exact sequences in an abelian category.
$X \rightarrow Y \rightarrow Z \rightarrow 0$
$0 \rightarrow X' \rightarrow Y' \rightarrow Z' \rightarrow 0$
Suppose the left square is a pullback.
Then $Z \rightarrow Z'$ is mono.
Proof:
We call s the above morphism $Z \rightarrow Z'$.
Let $r:T \rightarrow Z$ be a morphism such that sr = 0.
There exists the following pullback diagaram.
$$\begin{matrix}
P&\stackrel{u}{\rightarrow}&T\\
\downarrow&&\downarrow{r}\\
Y&\stackrel{}{\rightarrow}&Z
\end{matrix}
$$
By Lemma 5.4,
$0 \rightarrow X \rightarrow Y \rightarrow Z’$ is exact.
Hence there exists $P \rightarrow X$ such that $P \rightarrow Y = P \rightarrow X \rightarrow Y$.
Hence $ru$ = 0.
On the other hand, since a pullback of an epimorphism in an abelian category is epi(MacLane Proposition 2, p.199), $u$ is epi.
Hence $r$ = 0.
QED
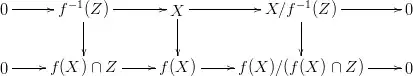
Lemma 6
Let $\mathcal{A}$ be an abelian category.
Let $f:X \rightarrow Y$ be a morphism of $\mathcal{A}$.
Let $Z \subset Y$.
Then $X/f^{-1}(Z)$ is canonically isomorphic to $f(X)/(f(X) \cap Z)$.
Proof:
Consider the following commutative diagram with two horizontal exact sequences.

By Lemma 5.5, $X/f^{-1}(Z) \rightarrow f(X)/(f(X) \cap Z)$ is mono.
Since $X \rightarrow f(X)$ is epi,
$X \rightarrow X/f^{-1}(Z) \rightarrow f(X)/(f(X) ∩ Z)$ is epi.
Hence $X/f^{-1}(Z) \rightarrow f(X)/(f(X) \cap Z)$ is epi.
Hence $X/f^{-1}(Z) \rightarrow f(X)/(f(X) \cap Z)$ is an isomorphism.
QED
Note
If you are willing to accept Mitchell's embedding theorem, Lemma 6 will be trivial.
Lemma 7
Let $\mathcal{A}$ be a cocomplete abelian category.
Suppose $\mathcal{A}$ has the following property.
Let $A$ be an object of $\mathcal{A}$.
Let $(A_i)_I$ be a directed family of subobjects of $A$.
Then, for every subobject $B$ of $A$, $(\sum A_i) \cap B = \sum (A_i \cap B)$.
Let $f:Y \rightarrow X$ be a morphism of $\mathcal{A}$.
Let $(X_i)_I$ be a directed family of subobjects of $X$.
Then,
$f^{-1}(\sum X_i) = \sum f^{-1}(X_i)$.
Proof:
By Lemma 6, for each $i$, $Y/f^{-1}(X_i)$ is canonically isomorphic to $f(Y)/(f(Y) \cap X_i)$.
Hence $\bigoplus Y/f^{-1}(X_i)$ is canonically isomorphic to $\bigoplus f(Y)/(f(Y) \cap X_i)$.
By Lemma 5, $Y/\sum f^{-1}(X_i)$ = $\bigoplus Y/f^{-1}(X_i)$.
Hence $Y/\sum f^{-1}(X_i)$ = $\bigoplus f(Y)/(f(Y) \cap X_i)$.
By Lemma 5, $\bigoplus f(Y)/(f(Y) \cap X_i)$ = $f(Y)/\sum (f(Y) \cap X_i)$.
By the assumption, $f(Y)/\sum (f(Y) \cap X_i)$ = $f(Y)/((\sum X_i) \cap f(Y))$.
By Lemma 6, $Y/f^{-1}(\sum X_i)$ is canonically isomorphic to $f(Y)/((\sum X_i) \cap f(Y))$.
Hence $Y/\sum f^{-1}(X_i)$ is canonically isomorphic to $Y/f^{-1}(\sum X_i)$.
Hence $f^{-1}(\sum X_i)$ = $\sum f^{-1}(X_i)$.
QED
Lemma 7.3
Let $\mathcal{C}$ be a category.
Let $X$ be an object of $\mathcal{C}$.
Let Sub($X$) be the category of subobjects of $X$.
Let $I$ be a small set.
Let $(X_i)_I$ be a directed family of subobjects of $X$.
Then there exists a preorder on $I$ making $I$ a filtered category and a functor $F: I \rightarrow$ Sub($X$) such that
$F(i) = X_i$ for each $i \in I$.
Proof: Define $i \leq j$ if and only if $X_i \subset X_j$.
QED
Lemma 7.5
Let $\mathcal{A}$ be an abelian category.
Let $I$ be a small category.
Let $F: I \rightarrow \mathcal{A}$ be a functor.
Let $i \in I$.
Let $(i\downarrow I)$ be the coslice category under i.
Let Sub($F(i)$) be the category of subobjects of $F(i)$.
Then there exists a functor $G$: $(i\downarrow I) \rightarrow$ Sub($F(i)$)
such that $G(u)$ = Ker($F(u)$) for each $u \in (i\downarrow I)$.
Proof:Clear.
Lemma 8
Let $\mathcal{A}$ be an abelian category.
Let $I$ be a small filtered category.
Let $F: I \rightarrow \mathcal{A}$ be a functor.
Let $i \in I$.
Let $J$ = {$u \in$ Mor($I$); $i$ = dom($u$)}.
Then (Ker($F(u))$)$_J$ is a directed family of subobjects of $F(i)$.
Proof:
Let $(i\downarrow I)$ be the coslice category under i.
$(i\downarrow I)$ is clearly a filtered category.
Since $J$ = Ob($(i\downarrow I)$), the assertion follows immediately from Lemma 7.5.
QED
Lemma 8.5
Let $\mathcal{A}$ be a cocomplete abelian category.
Let $I$ be a small category.
Let $F: I \rightarrow \mathcal{A}$ be a functor.
Let $S = \bigoplus_i F(i)$, where $i$ runs over every object of $I$.
Let $m_i: F(i) \rightarrow S$ be the canonical monomorphism for each $i \in I$.
Let $M$ = $\sum_u$ Im($m_i - m_jF(u)$), where $u$ runs over every morphism of $I$ and $i$ = dom($u$), $j$ = codom($u$).
Let $\pi:S \rightarrow S/M$ be the canonical epimorphism.
Let $f_i = \pi m_i$ for each $i \in I$.
Then $S/M$ = colim $F$ with canonical morphisms $f_i: F(i) \rightarrow S/M$ for each $i \in I$.
Proof:Left to the readers.
Lemma 8.6
Let $I$ be a filtered category.
Let $V$ be a non-empty finite subset of Ob($I$).
Let $T$ be a finite subset of Mor($I$) such that dom($u$) $\in V$ and codom($u$) $\in V$ whenever $u \in T$.
Then there exists $p \in$ Ob($I$) and a morphism $f_i: i \rightarrow p$ for each $i \in V$ with the following property.
For each $u:i \rightarrow j$ in $T$, $f_i = f_ju$.
Proof:
There exists $q \in I$ such that there exists a morphism $g_i:i \rightarrow q$ for each $i \in V$.
Let $u:i \rightarrow j$ in $T$.
There exists $r_u \in I$ and a morphism $h_u:q \rightarrow r_u$ such that
$h_ug_i = h_ug_ju$.
There exists $r \in I$ such that there exists a morphism $r_u \rightarrow r$ for each $u \in T$.
Hence, for each $u:i \rightarrow j$ in $T$ there exist a morphism $g_{u, i}: i \rightarrow r$ and a morphism $h_{u, j}: j \rightarrow r$ such that $g_{u, i} = h_{u, j}u$.
For each $i \in V$, let $G_i$ be the set {$g_{u, i}: i$ = dom($u$), $u \in T$},
and let $H_i$ be the set {$h_{u, i}: i$ = codom($u$), $u \in T$}.
Let $S_i = G_i \cup H_i$ for each $i \in V$.
By the properties of a filtered category, we can assume that $S_i$ consists of one morphism $f_i$ with a common codomain $p$ for each $i \in V$.
If $S_i$ is empty, we can assume that there exists a morphism $f_i:i \rightarrow p$ which has no condition.
QED
Lemma 9
Let $\mathcal{A}$ be a cocomplete abelian category.
Suppose $\mathcal{A}$ has the following property.
Let $A$ be an object of $\mathcal{A}$.
Let $(A_i)_I$ be a directed family of subobjects of $A$.
Then, for every subobject $B$ of $A$, $(\sum A_i) \cap B = \sum (A_i \cap B)$.
Let I be a small filtered category.
Let $F: I \rightarrow \mathcal{A}$ be a functor.
For each $i$, let $f_i: F(i) \rightarrow$ colim($F$) be the canonical morphism.
Then, for each $i$, Ker($f_i$) = $\sum$ Ker($F(u)$), where $u$ runs over every morphism such that $i$ = dom($u$).
Proof:
We use the notations of Lemma 8.5.
Let $T$ be a subset of Mor($I$).
Let $M_T$ = $\sum_{u \in T}$ Im($m_i - m_jF(u)$), where $i$ = dom($u$), $j$ = codom($u$).
Then $M = \sum_T M_T$, where T runs through all finite subsets of Mor($I$).
Hence, by Lemma 8.5 and Lemma 7, Ker($f_i$) = $m_i^{-1}(M)$ = $\sum_T m_i^{-1}(M_T)$,
where T runs through all finite subsets of Mor($I$).
It suffices to prove:
For each finite subset $T$ of Mor($I$), $m_i^{-1}(M_T) \subset$ Ker($F(u)$) for some $u \in$ Mor($I$) such that $i$ = dom($u$).
Let $V$ be the set of $k \in I$ such that $k$ = $i$ or $k$ = dom($u$) or $k$ = codom($u$) for some $u \in T$.
Since $I$ is filtered, by Lemma 8.6, there exists $p \in$ Ob($I$) and a morphism $v_k: k \rightarrow p$ for each $k \in V$ with the following property.
For each $u \in$ Mor($I$) such that k = dom($u$) $\in V$ and $j$ = codom($u$) $\in V$, $v_k = v_ju$.
We define $f:S \rightarrow F(p)$ as follows.
Let $k$ be any object of $I$.
If $k \in V$, $fm_k = F(v_k)$, otherwise $fm_k = 0$.
For each $u \in T$, let $k$ = dom($u$), $j$ = codom($u$).
Then $f(m_k - m_jF(u))$ = $F(v_k) - F(v_j)F(u)$ = $0$.
Hence, by Lemma 4, $f(M_T)$ = $0$.
Since $m_i(m_i^{-1}(M_T)) \subset M_T$, $0$ = $f(m_i(m_i^{-1}(M_T)))$ = $F(v_i)(m_i^{-1}(M_T))$.
Hence $m_i^{-1}(M_T) \subset$ Ker($F(v_i)$) as required.
QED
Proposition 1
Let $\mathcal{A}$ be a cocomplete abelian category.
Suppose $\mathcal{A}$ has the following property.
Let $A$ be an object of $\mathcal{A}$.
Let $(A_i)_I$ be a directed family of subobjects of $A$.
Then, for every subobject $B$ of $A$, $(\sum A_i) \cap B = \sum (A_i \cap B)$.
Then $\mathcal{A}$ satisfies (AB5).
Proof:
Let $I$ be a small filtered category.
By Lemma 2, colim$: \mathcal{A}^I \rightarrow \mathcal{A}$ preserves colimits.
In particular, it preserves cokernels.
Hence it is right exact.
It suffices to prove that it preserves monomorphisms.
Let $f: F \rightarrow G$ be a monomorphism of $\mathcal{A}^I$.
Let $K$ = Ker(colim($f$)).
For each i, let $u_i: F(i) \rightarrow$ colim $F$ be the canonical morphism.
Let $A_i$ = $u_i(F(i))$ for each i.
Since $I$ is a filtered category, $(A_i)_I$ is a directed family of subobjects of colim $F$.
By Lemma 1, colim $F$ = $\sum A_i$.
By the assumption, $K$ = $(\sum A_i) \cap K = \sum (A_i \cap K)$.
Suppose $K \neq 0$.
There exists $k \in I$ such that $A_k \cap K \neq 0$.
Since $A_k$ = Im($u_k$), $u_k^{-1}(A_k \cap K) \neq 0$.
Let $M = u_k^{-1}(A_k \cap K)$.
Then $u_k(M) \neq 0$.
For each i, let $v_i: G(i) \rightarrow$ colim $G$ be the canonical morphism.
$v_k(f_k(M))$ = (colim $f$)($u_k(M)$) = (colim $f$)($A_k \cap K$) $\subset$ (colim f)($K$) = $0$.
Hence $f_k(M) \subset$ Ker($v_k$).
By Lemma 9, $f_k(M) \subset \sum$ Ker($G(t)$), where $t$ runs over every morphism such that $k$ = dom($t$).
By Lemma 8 and the assumption, $f_k(M)$ = $\sum$ (Ker($G(t)$) $\cap f_k(M)$).
Since $f_k$ is mono, $M$ = $f_k^{-1}(f_k(M))$.
By Lemma 7, $M$ = $f_k^{-1}(f_k(M))$ = $f_k^{-1}(\sum$ (Ker($G(t)$) $\cap f_k(M)))$ = $\sum f_k^{-1}$(Ker($G(t)$ $\cap f_k(M))$.
For each morphism $t: k \rightarrow j$, Let $N_t = f_k^{-1}$(Ker($G(t)$) $\cap f_k(M))$.
Then $G(t)f_k(N_t) = 0$.
Since $G(t)f_k = f_jF(t)$, $f_jF(t)(N_t) = G(t)f_k(N_t) = 0$.
Since $f_j$ is mono, $F(t)(N_t) = 0$.
Hence, by Lemma 9, $u_k(N_t) = 0$.
Hence, by Lemma 4, $u_k(M) = u_k(\sum N_t) = \sum u_k(N_t) = 0$.
This is a contradiction.
QED
Proposition 2
Let $\mathcal{A}$ be a cocomplete abelian category satisfying (AB5).
Let $A$ be an object of $\mathcal{A}$.
Let $(A_i)_I$ be a directed family of subobjects of $A$.
Then, for every subobject $B$ of $A$, $(\sum A_i) \cap B = \sum (A_i \cap B)$.
Proof:
Let $C = \sum A_i$.
For each i, we have the following exact sequence.
$0 \rightarrow A_i \cap B \rightarrow A_i \rightarrow C/(C \cap B)$
By (AB5), Lemma 7.3 and Lemma 3, we get the following exact sequence.
$0 \rightarrow \sum (A_i \cap B) \rightarrow C \rightarrow C/(C \cap B)$
Hence $(\sum A_i) \cap B = \sum (A_i \cap B)$.
QED