5

In the literature it is stated that to each quadratic irrational $\gamma=\frac{P+\sqrt{D}}{Q}$ there is a corresponding ideal $I=[|Q|/\sigma , (P+\sqrt{D})/\sigma]$, where $\sigma=1$, if $\Delta \equiv0$ mod $4$ and $\sigma=2$, otherwise.

Thus, in the case of $\frac{2+\sqrt{13}}{3}$ the associated ideal must be $I=[3/2, (2+\sqrt{13})/2]$ which makes no sense, as $N(I)=3/2$ is supposed to be a rational integer.

What am I doing wrong here?

Bill Dubuque
  • 272,048
Jason Smith
  • 1,095

1 Answers1

5

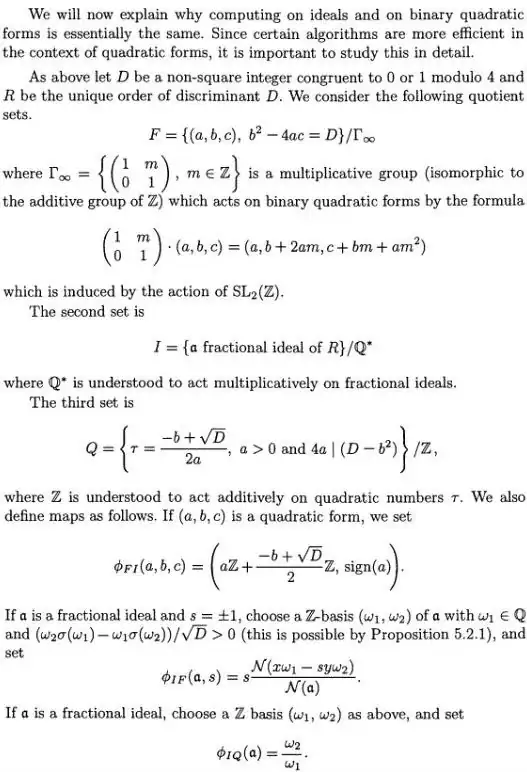
Below is a proof of the standard equivalences between forms, ideals and numbers, excerpted from section 5.2, p. 225 of Henri Cohen's book A course in computational algebraic number theory.

Note that your quadratic number is not of the form specified in this equivalence, viz. $\rm\ \tau = (-b+\sqrt{D})/(2a),\:$ and $\rm\: 4a\:|\:(D-b^2),\,$ i.e. $\rm\ a\:|\:N(a\tau),\,$ a condition that is equivalent to the $\,\Bbb Z\rm\!-\!\!module$ $\rm\, a\:\mathbb Z + a\tau\ \mathbb Z\,$ being an ideal when $\rm\,D\,$ and $\rm\,b\,$ have the same parity, e.g. see Proposition 2.8 p.18 in Franz Lemmermeyer's notes.

alt text alt text

Bill Dubuque
  • 272,048