I tried to solve the limit. Please tell me if I did something wrong. (Because WolframAlpha gave me different answer) $$\lim_{x \to \infty}\frac{e^{\frac{1}{x^2}}-1}{2\arctan(x^2)-\pi}$$ Let $(u=\frac{1}{x}, x \to \infty, u\to 0)$: $$\lim_{u \to 0}\frac{e^{u^2}-1}{2\arctan\left(\frac{1}{u^{2}}\right)-\pi}=\lim_{u \to 0}\frac{u^2\ln(e)}{\left(\frac{2}{u^{2}}\right)-\pi}=\lim_{u \to 0}\frac{u^2}{\left(\frac{2}{u^{2}}\right)-\pi}=\lim_{u \to 0}\frac{u^2}{\frac{2- \pi\cdot u^2}{u^2}}=\lim_{u \to 0}\frac{u^4}{2-\pi \cdot u^2}=\frac{0}{2}=0$$
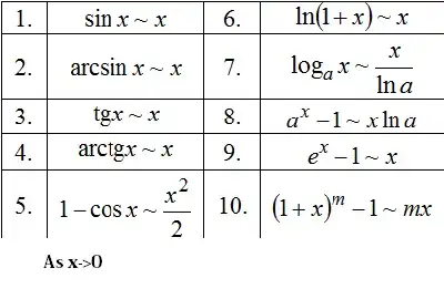
Note that I use these well-known rules:

P.S: $\ln$ is natural logarithm