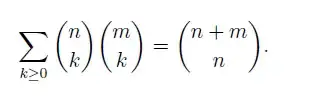
prove by counting two ways:

I though to prove the right hand side I would say: Let n represent a number of boys and m a number of girls. We want to choose a group of n from boys and girls. But for the left hand side I want to keep the variables m and n girls and boys. But I don't know what k will be. Suggestions?