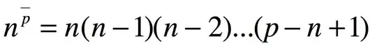
1) Show that $$(-n)^{\bar p} = (-1)^n n^\underline{p}$$
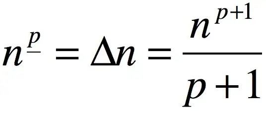
2) Evaluate the sum $$\sum_{a\le n\lt b}n^{\bar p}$$
Thoughts regarding question 1:
I've presented some of my work below, however I am not certain how it applies to the questions presented above. For instance, in question one would you simply distribute the negative sign in front of n through the factored polynomial below? -1 to the nth power is either -1 or 1 depending on the value of n, so can that just be treated as a constant. In the case of question 1, it seems we are basically just manipulating the two factored polynomials.
Thoughts regarding question 2:
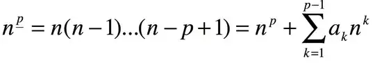
Here I believe some of my trouble lies with the bounds of the sum. It helps to think of the sum as n going from a to b-1. I'm pretty much stuck here. I know that in the question n is raised to the rising p-power, but in taking into account how you can write n to the falling p-power as a n raised to the p plus a sum, should it be the case that here the sum itself contain another sum?


