4

Lang's "Algebra" (on pg. 4) says the following:

Let $G$ be a monoid. Then $\Pi{x_i}$ is defined as $(x_2x_2\dots)x_n$.

This probably means $\Pi x_i=(((x_1x_2)x_3)\dots)x_n$.

He then says

We then have the following rule $\Pi_a^bx_i.\Pi_{b+1}^c x_j=\Pi_a^cx_k$. This ensures that parenthesis can be placed in any way.

I don't understand this. A monoid anyway has associative property. Shouldn't the fact that parentheses can be placed in any way have followed from the first statement itself?

Thanks in advance!

  • He goes on to say "The proof is easy by induction, and we shall leave it as an exercise". It follows indeed, but I think this rule may be seen as an intermediate step in proving the fact the parentheses can be placed in any way. – Marcin Łoś Feb 26 '14 at 09:47
  • @MarcinŁoś- The proof that I have in mind does not involve the second step at all! –  Feb 26 '14 at 09:54
  • The associativity rule is for precisely 3 elements. You must prove the version for any finite number of elements using induction. Anything else is hand-waving and amounts to assuming what you intend to prove. – MPW Feb 26 '14 at 09:59
  • @MPW- Say we have $a_1a_2a_3a_4$. The first statement defines it as $(((a_1a_2)a_3)a_4)$. Due to the associativity of the elements of a monoid, you can arrange the parentheses however you like (for more than 3 elements too). –  Feb 26 '14 at 10:03
  • @AyushKhaitan That is true, but it requires proof, which is Lang's point. Though one may have hardwired intuitive beliefs why this is true, they need to be translated into a formal proof to be rigorous. – Bill Dubuque Feb 26 '14 at 17:25

2 Answers2

3

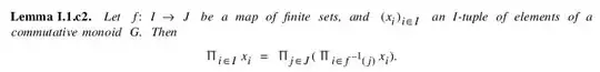
Lang's point is that these intuitive normalizations using the assoicative law require formal proof. Below is one way to do so from Bergman's superb Companion to Lang's Algebra, from pp. 5-7 of the Introduction, and Notes to Chapter I. I highly recommend that anyone reading Lang's Algebra have Bergman's notes close at hand. I suggest that you attempt to prove the Lemma's below before consulting their proofs in Bergman's notes.

enter image description here enter image description here enter image description here

Bill Dubuque
  • 272,048
  • Thanks Bill, that was most helpful. –  Feb 27 '14 at 01:51
  • This is an old post but still wanted to make sure of something: after the proof of Lemma c1, Bergman says that this agrees with the notation of p. 4 of Lang, which is what OP asked for. However, Bergman's proof assumes commutativity, right? Commutative monoids haven't yet been introduced at that stage of the book, so I think Lang was looking for a different proof than that. – ImHackingXD Jun 20 '22 at 08:13
0

I am just getting into this book, and came up with the following proof, which I thought was simple enough. I am curious what you all would think....

Let $G$ be a monoid. Fix an integer $m \ge 1$. Suppose $n=1$.

Then we have $$(\Pi_{p=1}^{m} x_p) * (\Pi_{q=1}^{n} x_{q+m})$$ $$ = (x_1 * ... * x_m) * x_{m+1}$$ $$ = \Pi_{p=1}^{m+1} x_p.$$

Suppose $n=k$ for some positive integer $k$. Assume this inductive hypothesis: $$(\Pi_{p=1}^{m} x_p) * (\Pi_{q=1}^{k} x_{q+m}) = (\Pi_{p=1}^{m+k} x_p)$$ Then we have $$(\Pi_{p=1}^{m} x_p) * (\Pi_{q=1}^{k+1} x_{q+m})$$

$= (\Pi_{p=1}^{m} x_p) * \bigl((x_{1+m} * ... * x_{k+m}) * x_{k+1+m}\bigr)$ by definition of product

$= \bigl((\Pi_{p=1}^{m} x_p) * (x_{1+m} * ... * x_{k+m})\bigr) * x_{k+1+m}$ by associativity of the law of composition of $G$.

$= \bigl((\Pi_{p=1}^{m} x_p) * (\Pi_{q=1}^{k} x_{q+m})\bigr) * x_{k+1+m}$ by definition of product

$= (\Pi_{p=1}^{m+k} x_p) * x_{k+1+m}$ by our inductive hypothesis

$= \Pi_{p=1}^{k+1+m} x_p$ by our definition of product.

By the principle of mathematical induction, that proves the point for all $n$.