How does one prove the following limit? $$ \lim_{n \to \infty} \sqrt{1 + 2 \sqrt{1 + 3 \sqrt{1 + \cdots \sqrt{1 + (n - 1) \sqrt{1 + n}}}}} = 3. $$
-
In this video https://youtu.be/r5BGIi84arY by MindYourDecisions explains the "Ramanujan's radical brain teaser". – Jul 30 '21 at 18:23
-
Also check out his blog post https://mindyourdecisions.com/blog/2016/05/01/ramanujans-nested-radical-sunday-puzzle/ – Jul 30 '21 at 18:26
3 Answers
This is Ramanujan's famous nested radical.
More information can be found here: http://www.isibang.ac.in/~sury/ramanujanday.pdf
See Also: http://mathworld.wolfram.com/NestedRadical.html (number 26).
Apparently, this is how he came up with it (sorry, no reference for this claim).
Start with
$$3 = \sqrt{9} = \sqrt{1 + 8} = \sqrt{1 + 2 \cdot 4}$$ $$ = \sqrt{1 + 2\sqrt{16}} = \sqrt{1 + 2\sqrt{1 + 3 \cdot 5}}$$ $$ = \sqrt{1 + 2\sqrt{1 + 3 \sqrt{25}}} = \sqrt{1 + 2\sqrt{1 + 3 \sqrt{1 + 4 \cdot 6}}}$$ etc.
- 82,206
-
14
-
2I just followed a "possible duplicate" link here and saw that my answer is a "possible duplicate" of yours :-) (+1) – robjohn Jul 02 '12 at 13:26
-
1According to this reasoning,$$4=\sqrt{16}=\sqrt{1+2\sqrt{\frac{225}{4}}}=\sqrt{1+2\sqrt{1+3\sqrt{...}}}$$. This should go on forever. If I accept your reasoning it implies that I also accept this reasoning. I think you had better prove it by some other technique. – Nov 26 '20 at 14:23
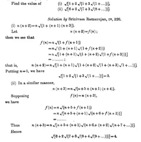
This is the special case $\rm\ x,\:n,\:a = 2,\:1,\:0\ $ in Ramanujan's second notebook, chapter XII, entry 4:
$$\rm x + n + a\ =\ \sqrt{ax + (n+a)^2 + x\sqrt{a(x+n) + (n+a)^2 + (x+n) \sqrt{\cdots}}} $$
Below is Ramanujan's solution of the given special case - which was submitted to a journal in April 1911. Note that his solution is incomplete (exercise: why?). For further discussion see this 1935 Monthly article, Herschfeld: On infinite radicals. It also appeared as Problem A6 on the 27th Putnam competition, 1966. Vijayaraghavan proved that a sufficient criterion for the convergence of the following sequence $\ \sqrt{a_1 + \sqrt{a_2 +\:\cdots\: +\sqrt{a_n}}}\ \ $ is that $\rm\displaystyle\ \ {\overline \lim}_{n\to\infty}\frac{\log{a_n}}{2^n}\ < \infty\:.\ $
- 272,048
-
1The above solution is from which journal? Can you give me the link? – Pragyaditya Das May 06 '17 at 16:01
-
1@PragyadityaDas: the image is from Collected Papers of Ramanujan. – Paramanand Singh Aug 18 '18 at 18:46
Let me provide a full and simple proof here (6 years later)
Set, for $m<n$ $$ a_{m,n}=\sqrt{1+m\sqrt{1+(m+1)\sqrt{1+\cdots+(n-1)\sqrt{1+n}}}}. $$ We shall first show that $$a_{m,n}<m+1,\tag{1}$$ in the following way using Backwards induction. Clearly, $a_{n,n}=\sqrt{1+n}<1+n$, and if $a_{k+1,n}<k+2$, for some $k<n$, then $$ a_{k,n}=\sqrt{1+ka_{k+1,n}}<\sqrt{1+k(k+2})=\sqrt{k^2+2k+1}=k+1. $$ In particular, in the same way we can show that $$ m+1=\sqrt{1+m\sqrt{1+(m+1)\sqrt{1+\cdots+(n-1)\sqrt{1+{\color{red}{n^2+2n}}}}}} $$ Next, observe that $$ 0<m+1-a_{m,n}= \\ =\sqrt{1+m\sqrt{1+\cdots+(n-1)\sqrt{1+{\color{red}{n^2+2n}}}}} -\sqrt{1+m\sqrt{1+\cdots+(n-1)\sqrt{1+{n}}}} \\ =\frac{m\Big(\sqrt{1+(m+1)\sqrt{1+\cdots+(n-1)\sqrt{1+{\color{red}{n^2+2n}}}}} -\sqrt{1+(m+1)\sqrt{1+\cdots+(n-1)\sqrt{1+{n}}}}\Big)}{\sqrt{1+m\sqrt{1+\cdots+(n-1)\sqrt{1+{\color{red}{n^2+2n}}}}} +\sqrt{1+m\sqrt{1+\cdots+(n-1)\sqrt{1+{n}}}}} \\ <\frac{m}{m+2}(m+2-a_{m+1,n}) <\cdots < \frac{m(m+1)\cdots (n-1)}{(m+2)(m+3)\cdots(n+1)}(n+1-a_{n,n})=\frac{m(m+1)(n+1-\sqrt{n+1})}{n(n+1)}<\frac{m(m+1)}{n}. $$ Thus $$ \lim_{n\to\infty}a_{m,n}=m+1. $$
- 83,933
-
5
-
-
this is beautiful. The original proof never sat well with me, it more or less amounted to knowing the solution beforehand. This is a nice forward proof. +1 – failedentertainment May 05 '20 at 02:05