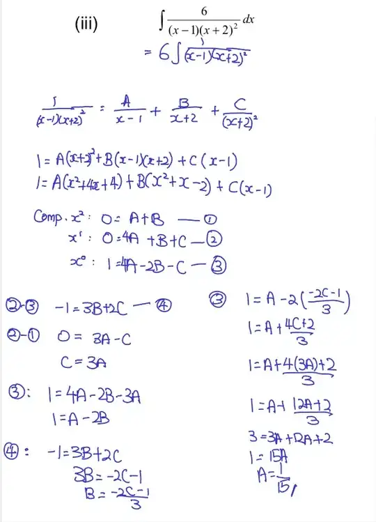
So far I have my working ...

I think I got wrong ... since after checking with http://calc101.com/webMathematica/partial-fractions.jsp#topdoit
$A = \frac{1}{9}$
$B = - \frac{1}{9}$
$C = - \frac{1}{3}$
Is there a better way to do this than simultaneous equations? Or any tips on how solving such problems ... in a recent exam, I find myself getting a ton of simultaneous equations like below (maybe I need to see "patterns" that make my lefe easier) and likely made careless mistakes within them