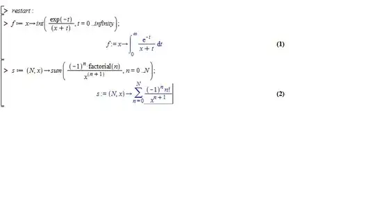
I am writing a project in Latex and have been using Maple to help calculate various things. I want to copy the code in maple and put it into the Latex file so it will still maintain the maple style and layout.
This is the code I am aiming to show via Latex. I have tried various different google search codes to no avail. These include the help shown on here https://tex.stackexchange.com/questions/109200/how-to-include-maple-code-in-latex and that shown via the maplesoft help
Asked
Active
Viewed 325 times
4
-
Does this help? – Antonio Vargas Apr 28 '14 at 16:05
-
Does this help, too? :) – MattAllegro Apr 28 '14 at 18:11
-
Ive tried that MattAllegro and it wouldnt work, any other ideas? – James Apr 28 '14 at 20:21