I have this question in my notes:

Here is the answer:

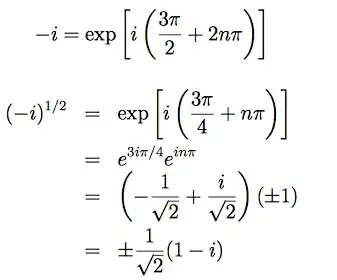
How in the world do they get that starting equation for -i??
THANK YOU
I have this question in my notes:

Here is the answer:

How in the world do they get that starting equation for -i??
THANK YOU
We have $z=|z|\cdot e^{i\cdot\arg(z)}$ for any complex number $z$ where $|z|$ is its distance from the origin when drawn on the complex plane, and $\arg(z)$ is its argument, i.e. the angle of the vector $z$ closed with the right wing of the real axis.
Now, we have $\ |-i|=1\ $ and $\ \arg(-i)=3\pi/2$.