Let us compute the result in case $n=2$. Here the matrix reads $A=\left(\begin{array}{rr}a & c\\c& b\end{array}\right)$ .Therefore we have:
\begin{eqnarray}
P&=& \int\limits_{{\mathbb R}_+^2} \exp\left\{-\frac{1}{2}\left[\sqrt{a}(s_1+\frac{c}{a} s_2)\right]^2 -\frac{1}{2} \frac{b a-c^2}{a} s_2^2\right\} ds_1 ds_2\\
&=&\frac{1}{\sqrt{a}} \sqrt{\frac{\pi}{2}} \int\limits_0^\infty erfc\left(\frac{c}{\sqrt{a}} \frac{s_2}{\sqrt{2}} \right)\exp\left\{-\frac{1}{2}(\frac{b a-c^2}{a})s_2^2 \right\}ds_2\\
&=&\sqrt{\frac{\pi}{2}} \frac{1}{\sqrt{b a-c^2}} \int\limits_0^\infty erfc(\frac{c}{\sqrt{b a-c^2}} \frac{s_2}{\sqrt{2}}) e^{-\frac{1}{2} s_2^2} ds_2\\
&=& \sqrt{\frac{\pi}{2}} \frac{1}{\sqrt{b a-c^2}} \left(
\sqrt{\frac{\pi}{2}}- \sqrt{\frac{2}{\pi}} \arctan(\frac{c}{\sqrt{b a-c^2}})\right)\\
&=& \frac{1}{\sqrt{b a-c^2}} \arctan(\frac{\sqrt{b a-c^2}}{c})
\end{eqnarray}
In the top line we completed the first integration variable to a square and in the second line we integrated over that variable. In the third line we changed variables accordingly . In the fourth line we integrated over the second variable by writing $erfc() = 1- erf()$ and then expanding the error function in a Taylor series and integrating term by term and finally in the last line we simplified the result.
Now, by doing similar calculations we obtained the following result in case $n=3$. Here $A=\left(\begin{array}{rrr}a & a_{12} & a_{13}\\a_{12}& b&a_{23}\\a_{13}&a_{23}&c\end{array}\right)$.
Firstly we have:
\begin{eqnarray}
&&\vec{s}^{(T)}.(A.\vec{s}) = \\
&&\left(\sqrt{a} ( s_1 + \frac{a_{1,2} s_2 + a_{1,3} s_3}{a} )\right)^2 +
\left( b- \frac{a_{1,2}^2}{a}\right) s_2^2 + \left(c-\frac{a_{1,3}^2}{a}\right) s_3^2 + 2 \left(a_{2,3}-\frac{a_{1,2} a_{1,3} }{a}\right) s_2 s_3
\end{eqnarray}
Therefore integrating over $s_1$ gives:
\begin{eqnarray}
&&P=\sqrt{\frac{\pi }{2}} \frac{1}{\sqrt{a}} \cdot \\
&&\int\limits_{{\bf R}^2} \text{erfc}\left(\frac{a_{1,2} s_2+a_{1,3} s_3}{\sqrt{2} \sqrt{a}}\right) \cdot \\
&&\exp \left[
-\frac{1}{2} \left(s_2^2 \left(b-\frac{a_{1,2}^2}{a}\right)+2
s_2 s_3 \left(a_{2,3}-\frac{a_{1,2} a_{1,3}}{a}\right)+s_3^2 \left(c-\frac{a_{1,3}^2}{a}\right)\right)
\right]
ds_2 ds_3=\\
&&
\frac{\sqrt{\pi }}{a_{1,2}} \int\limits_0^\infty
\text{erfc}(u) \cdot \exp\left[-\frac{1}{2}u^2 (\frac{2 a b}{a_{1,2}^2} - 2)\right]\\
&&
\int\limits_0^{\frac{\sqrt{2 a}}{a_{1,3}} u}
\exp \left[-\frac{1}{2} \left(s_3 u\frac{2 \sqrt{2} \sqrt{a} }{a_{1,2}} \left(a_{2,3}-\frac{b
a_{1,3}}{a_{1,2}}\right)+
s_3^2\frac{a_{1,3} }{a_{1,2}} \left(\frac{a_{1,3} b}{a_{1,2}}+\frac{a_{1,2} c}{a_{1,3}}-2 a_{2,3}\right)\right)\right] ds_3 du
\end{eqnarray}
Now it is clear that we can do the integral over $s_3$ in the sense that we can express it through a difference of error functions.Denote $\delta:=-2 a_{1,2} a_{1,3} a_{2,3} +a_{1,3}^2 b +a_{1,2}^2 c$. Then we have
\begin{eqnarray}
&&P=\frac{\pi}{\sqrt{2}\sqrt{\delta}} \cdot\int\limits_0^\infty erfc(u) \left( erf\left[\frac{\sqrt{a}(-a_{1,3} a_{2,3}+a_{1,2} c)}{a_{1,3} \sqrt{\delta}} u \right] - erf\left[ \frac{\sqrt{a}(a_{1,2} a_{2,3}-a_{1,3} b)}{a_{1,2} \sqrt{\delta}} u \right]\right) e^{-\frac{\det(A) }{\delta} u^2} du=\\
&&\frac{\pi}{\sqrt{2 \det(A)}}\cdot \\
&&
\int\limits_0^\infty erfc\left(u \sqrt{\frac{\delta}{\det(A)}}\right)e^{-u^2}\cdot \\
&&\left(-erfc(\sqrt{a} \frac{(-a_{13}a_{23}+a_{12} c)}{a_{13} \sqrt{\det(A)}} u)+erfc(\sqrt{a} \frac{(a_{12}a_{23}-a_{13} b)}{a_{12} \sqrt{\det(A)}} u)\right) du \\
&&=\sqrt{\frac{\pi}{2 \det(A)}}\\
\left[\right.\\
&&-\arctan\left(\frac{a_{13} \sqrt{\det(A)}}{\sqrt{a}(-a_{13}a_{23}+a_{12} c)}\right)+
\arctan\left(\frac{\sqrt{c} \sqrt{\det(A)}}{-a_{13} a_{23} + a_{12} c}\right)
\\
&&+\arctan\left(\frac{a_{12} \sqrt{\det(A)}}{\sqrt{a} (a_{12} a_{23} - a_{13} b)}\right)-\arctan\left(\frac{\sqrt{b} \sqrt{\det(A)}}{a_{12} a_{23} - a_{13} b}\right)
\left. \right]\\
&&=\sqrt{\frac{\pi}{2 \det(A)}}\\
&&\left[\right.\\
&&\left.
\arctan\left(\frac{(a_{1,3}-\sqrt{a_{1,1}a_{3,3}})(a_{1,3}a_{2,3}-a_{1,2}a_{3,3})}{\sqrt{a_{1,1}} (a_{1,3}a_{2,3}-a_{1,2}a_{3,3})^2+a_{1,3} \sqrt{a_{3,3}} \det(A) }\sqrt{\det(A)}\right)+\right.\\
&&\left.
\arctan\left(\frac{(a_{1,2}-\sqrt{a_{1,1}a_{2,2}})(a_{1,2}a_{2,3}-a_{1,3}a_{2,2})}{\sqrt{a_{1,1}} (a_{1,2}a_{2,3}-a_{1,3}a_{2,2})^2+a_{1,2} \sqrt{a_{2,2}} \det(A) }\sqrt{\det(A)}\right)
\right]
\end{eqnarray}
where in the last line we used An integral involving error functions and a Gaussian .
I also include a Mathematica code snippet that verifies all the steps involved:
(*3d*)
A =.; B =.; CC =.; A12 =.; A23 =.; A13 =.;
For[DDet = 0, True, ,
{A, B, CC, A12, A23, A13} =
RandomReal[{0, 1}, 6, WorkingPrecision -> 50];
DDet = Det[{{A, A12, A13}, {A12, B, A23}, {A13, A23, CC}}];
If[DDet > 0, Break[]];
];
a = Sqrt[(-2 A12 A13 A23 + A13^2 B + A12^2 CC)/DDet];
{b1, b2} = {( Sqrt[A] (-A13 A23 + A12 CC))/ Sqrt[DDet], (
Sqrt[A] (A12 A23 - A13 B))/ Sqrt[DDet]};
{AA1, AA2} = {2 Sqrt[2] Sqrt[
A] (( A23 A12 - A13 B)/A12^2), (-2 A12 A13 A23 + A13^2 B +
A12^2 CC)/A12^2};
{DDet, a, b1, b2};
NIntegrate[
Exp[-1/2 (A s1^2 + B s2^2 + CC s3^2 + 2 A12 s1 s2 + 2 A23 s2 s3 +
2 A13 s1 s3)], {s1, 0, Infinity}, {s2, 0, Infinity}, {s3, 0,
Infinity}]
NIntegrate[
Exp[-1/2 ((Sqrt[A] (s1 + (A12 s2 + A13 s3)/A))^2 + (B -
A12^2/A) s2^2 + (CC - A13^2/A) s3^2 +
2 (A23 - A12 A13/A) s2 s3)], {s1, 0, Infinity}, {s2, 0,
Infinity}, {s3, 0, Infinity}]
NIntegrate[
1/Sqrt[A] Sqrt[
Pi/2] Erfc[(A12 s2 + A13 s3)/
Sqrt[2 A]] Exp[-1/
2 ((B - A12^2/A) s2^2 + (CC - A13^2/A) s3^2 +
2 (A23 - A12 A13/A) s2 s3)], {s2, 0, Infinity}, {s3, 0,
Infinity}]
Sqrt[Pi]/A12 NIntegrate[
Erfc[u] Exp[-1/
2 ( A13/A12 (-2 A23 + (A13 B)/A12 + CC A12/A13) s3^2 + (
2 Sqrt[2] Sqrt[A] )/
A12 ( A23 - ( A13 B)/A12) s3 u + (-2 + (2 A B)/
A12^2) u^2)], {u, 0, Infinity}, {s3, 0, Sqrt[2 A]/A13 u}]
Sqrt[Pi]/A12 NIntegrate[
Erfc[u] Exp[-1/2 (Sqrt[AA2] s3 + u/2 AA1/Sqrt[AA2])^2] Exp[-((
DDet u^2)/(-2 A12 A13 A23 + A13^2 B + A12^2 CC))], {u, 0,
Infinity}, {s3, 0, Sqrt[2 A]/A13 u}]
Sqrt[Pi]/(A12 Sqrt[AA2])
NIntegrate[
Erfc[u] Exp[-1/2 (s3)^2] Exp[-((
DDet u^2)/(-2 A12 A13 A23 + A13^2 B + A12^2 CC))], {u, 0,
Infinity}, {s3,
u/2 AA1/Sqrt[AA2], ((A13 AA1 + 2 AA2 Sqrt[2] Sqrt[A]) u)/(
2 A13 Sqrt[AA2])}]
Sqrt[Pi]/(A12 Sqrt[AA2]) Sqrt[\[Pi]/2]
NIntegrate[
Erfc[u] (
Erf[(A13 AA1 + 2 AA2 Sqrt[2] Sqrt[A])/(2 A13 Sqrt[2] Sqrt[AA2])
u] - Erf[AA1/(2 Sqrt[2] Sqrt[AA2]) u]) Exp[-((
DDet u^2)/(-2 A12 A13 A23 + A13^2 B + A12^2 CC))], {u, 0,
Infinity}]
Pi/Sqrt[-2 A12 A13 A23 + A13^2 B + A12^2 CC] Sqrt[1/2]
NIntegrate[
Erfc[u] (
Erf[( Sqrt[A] (-A13 A23 + A12 CC) u)/(
A13 Sqrt[-2 A12 A13 A23 + A13^2 B + A12^2 CC])] -
Erf[(Sqrt[A] (A12 A23 - A13 B) u)/(
A12 Sqrt[-2 A12 A13 A23 + A13^2 B + A12^2 CC])]) Exp[-((
DDet u^2)/(-2 A12 A13 A23 + A13^2 B + A12^2 CC))], {u, 0,
Infinity}]
Pi/ Sqrt[-2 A12 A13 A23 + A13^2 B +
A12^2 CC] Sqrt[1/2] a NIntegrate[
Erfc[a u] (
Erf[( Sqrt[A] (-A13 A23 + A12 CC) u)/(A13 Sqrt[DDet])] -
Erf[(Sqrt[A] (A12 A23 - A13 B) u)/(A12 Sqrt[DDet])]) Exp[-
u^2], {u, 0, Infinity}]
Pi/Sqrt[2 DDet] NIntegrate[(Erfc[u a]) Exp[-u^2] (Erf[b1/A13 u] -
Erf[b2/A12 u]), {u, 0, Infinity}]
Sqrt[Pi]/Sqrt[
2 DDet] (ArcTan[ Sqrt[A]/A13 (-A13 A23 + A12 CC)/ Sqrt[DDet]] -
ArcTan[1/ Sqrt[CC] (-A13 A23 + A12 CC)/ Sqrt[DDet]] -
ArcTan[ Sqrt[A]/A12 (A12 A23 - A13 B)/ Sqrt[DDet]] +
ArcTan[ 1/Sqrt[B] (A12 A23 - A13 B)/ Sqrt[DDet]])
-(Sqrt[Pi]/
Sqrt[2 DDet]) (ArcTan[(A13 Sqrt[DDet])/(
Sqrt[A] (-A13 A23 + A12 CC))] -
ArcTan[(Sqrt[CC] Sqrt[DDet])/(-A13 A23 + A12 CC)] -
ArcTan[(A12 Sqrt[DDet])/(Sqrt[A] (A12 A23 - A13 B))] +
ArcTan[(Sqrt[B] Sqrt[DDet])/(A12 A23 - A13 B)])
Sqrt[Pi]/Sqrt[
2 DDet] (ArcTan[((A13 - Sqrt[A] Sqrt[CC]) (A13 A23 - A12 CC) Sqrt[
DDet])/(Sqrt[A] (A13 A23 - A12 CC)^2 + A13 Sqrt[CC] DDet)] +
ArcTan[((A12 - Sqrt[A] Sqrt[B]) (A12 A23 - A13 B) Sqrt[DDet])/(
Sqrt[A] (A12 A23 - A13 B)^2 + A12 Sqrt[B] DDet)])
Update: Now let us take a look at the $n=4$ case. In here:
\begin{equation}
{\bf A}=\left(
\begin{array}{rrrr}
a & a_{1,2} & a_{1,3} & a_{1,4} \\
a_{1,2} & b & a_{2,3} & a_{2,4} \\
a_{1,3} & a_{2,3} & c & a_{3,4} \\
a_{1,4} & a_{2,4} & a_{3,4} & d
\end{array}
\right)
\end{equation}
then by doing basically the same computations as a above we managed to reduce the integral in question to a following two dimensional integral. We have:
\begin{eqnarray}
&&P= \\
&&\!\!\!\!\!\!\!\!\!\!\!\!\!\!\!\!\!\!\!\!\!\!\!\!\!\!\!\!\!\!\!\!\!\!\!\!\!\!\!\!\!\!\frac{\pi}{\sqrt{2 \delta}} \int\limits_0^\infty \int\limits_0^{\frac{\sqrt{2 a}}{a_{1,2}} u}
erfc[u] \cdot \exp\left[\frac{{\mathfrak A}_{0,0} u^2 + {\mathfrak A}_{1,0} u s_2 +{\mathfrak A}_{1,1} s_2^2}{2 \delta}\right] \cdot \left( erf[\frac{{\mathfrak B}_1 u + {\mathfrak B}_2 s_2}{a_{1,3} \sqrt{2 \delta}}] + erf[\frac{{\mathfrak C}_1 u + {\mathfrak C}_2 s_2}{a_{1,4} \sqrt{2 \delta}}]\right) d s_2 du=\\
&&\frac{2 \imath \pi^{3/2}}{\sqrt{{\mathfrak A}_{1,1}}}
\int\limits_0^\infty erfc[u] \exp\{\frac{4 {\mathfrak A}_{0,0} {\mathfrak A}_{1,1} - {\mathfrak A}_{1,0}^2}{8\delta {\mathfrak A}_{1,1}} u^2\}\cdot\\
&&
\left[\right.\\
&&\left.
\left.T\left(\frac{({\mathfrak A}_{1,0}+\xi) u}{2\imath \sqrt{{\mathfrak A}_{1,1} \delta}},
\frac{\imath {\mathfrak B}_2}{a_{1,3} \sqrt{{\mathfrak A}_{1,1}}},\frac{u(2{\mathfrak A}_{1,1} {\mathfrak B}_1 - {\mathfrak A}_{1,0} {\mathfrak B}_2)}{2\sqrt{\delta} a_{1,3} {\mathfrak A}_{1,1}}\right)\right|_{\frac{2{\mathfrak A}_{1,1} \sqrt{2 a}}{a_{1,2}}}^0 +\right.\\
&&\left.
\left.T\left(\frac{({\mathfrak A}_{1,0}+\xi) u}{2\imath \sqrt{{\mathfrak A}_{1,1} \delta}},
\frac{\imath {\mathfrak C}_2}{a_{1,3} \sqrt{{\mathfrak A}_{1,1}}},\frac{u(2{\mathfrak A}_{1,1} {\mathfrak C}_1 - {\mathfrak A}_{1,0} {\mathfrak C}_2)}{2\sqrt{\delta} a_{1,3} {\mathfrak A}_{1,1}}\right)\right|_{\frac{2{\mathfrak A}_{1,1} \sqrt{2 a}}{a_{1,2}}}^0 +\right.\\
&&\left.
\right] du \quad (i)
\end{eqnarray}
where $T(\cdot,\cdot,\cdot)$ is the generalized Owen's T function Generalized Owen's T function and
\begin{eqnarray}
\delta&:=&a_{1,3}(a_{1,3} d-a_{1,4} a_{3,4}) + a_{1,4}(a_{1,4} c- a_{1,3} a_{3,4})\\
{\mathfrak A}_{0,0}&:=&2 a \left(a_{3,4}^2-c d\right)+2 a_{1,4} (a_{1,4} c-a_{1,3} a_{3,4})+2 a_{1,3} (a_{1,3} d-a_{1,4} a_{3,4})\\
{\mathfrak A}_{1,0}&:=&2 \sqrt{2} \sqrt{a} \left(a_{1,2} \left(c d-a_{3,4}^2\right)+a_{1,3}
(a_{2,4} a_{3,4}-a_{2,3} d)+a_{1,4} (a_{2,3} a_{3,4}-a_{2,4} c)\right)\\
{\mathfrak A}_{1,1}&:=&a_{1,2}^2 \left(a_{3,4}^2-c d\right)+2 a_{1,2} a_{1,3} (a_{2,3} d-a_{2,4} a_{3,4})+2 a_{1,2} a_{1,4}
(a_{2,4} c-a_{2,3} a_{3,4})+a_{1,3}^2 \left(a_{2,4}^2-b d\right)+2 a_{1,3} a_{1,4} (a_{3,4} b-a_{2,3} a_{2,4})+a_{1,4}^2 \left(a_{2,3}^2-b c\right)\\
\hline\\
{\mathfrak B}_1&:=&\sqrt{2} \sqrt{a} (a_{1,4}
c-a_{1,3} a_{3,4})\\
{\mathfrak B}_2&:=&a_{1,2} (a_{1,3} a_{3,4}-a_{1,4} c)+a_{1,3} (a_{1,4} a_{2,3}-a_{1,3} a_{2,4})\\
{\mathfrak C}_1&:=&\sqrt{2} \sqrt{a} (a_{1,3} d-a_{1,4} a_{3,4})\\
{\mathfrak C}_2&:=&a_{1,2} (a_{1,4}
a_{3,4}-a_{1,3} d)+a_{1,4} (a_{1,3} a_{2,4}-a_{1,4} a_{2,3})
\end{eqnarray}
nu = 4; Clear[T]; Clear[a]; x =.;
(*a0.dat, a1.dat or a2.dat*)
mat = << "a0.dat";
{a, b, c, d, a12, a13, a14, a23, a24, a34} = {mat[[1, 1]],
mat[[2, 2]], mat[[3, 3]], mat[[4, 4]], mat[[1, 2]], mat[[1, 3]],
mat[[1, 4]], mat[[2, 3]], mat[[2, 4]], mat[[3, 4]]};
{dd, A00, A10,
A11} = {-2 a13 a14 a34 + a14^2 c + a13^2 d, -4 a13 a14 a34 +
2 a a34^2 + 2 a14^2 c + 2 a13^2 d - 2 a c d,
2 Sqrt[2] Sqrt[a] a14 a23 a34 + 2 Sqrt[2] Sqrt[a] a13 a24 a34 -
2 Sqrt[2] Sqrt[a] a12 a34^2 - 2 Sqrt[2] Sqrt[a] a14 a24 c -
2 Sqrt[2] Sqrt[a] a13 a23 d + 2 Sqrt[2] Sqrt[a] a12 c d,
a14^2 a23^2 - 2 a13 a14 a23 a24 + a13^2 a24^2 -
2 a12 a14 a23 a34 - 2 a12 a13 a24 a34 + a12^2 a34^2 +
2 a13 a14 a34 b + 2 a12 a14 a24 c - a14^2 b c + 2 a12 a13 a23 d -
a13^2 b d - a12^2 c d};
{B1, B2, C1,
C2} = {Sqrt[2] Sqrt[
a] (-a13 a34 + a14 c), (a13 a14 a23 - a13^2 a24 + a12 a13 a34 -
a12 a14 c),
Sqrt[2] Sqrt[
a] (-a14 a34 + a13 d), (-a14^2 a23 + a13 a14 a24 + a12 a14 a34 -
a12 a13 d)};
NIntegrate[
Exp[-1/2 Sum[mat[[i, j]] s[i] s[j], {i, 1, nu}, {j, 1, nu}]],
Evaluate[Sequence @@ Table[{s[eta], 0, Infinity}, {eta, 1, nu}]]]
Sqrt[\[Pi]/(2 a)]
NIntegrate[
Erfc[(a12 s[2] + a13 s[3] + a14 s[4])/Sqrt[
2 a]] Exp[-1/
2 ((-(a12^2/a) + b) s[2]^2 + (-(a13^2/a) + c) s[
3]^2 + (-(a14^2/a) + d) s[4]^2 +
2 (-(( a13 a14)/a) + a34) s[3] s[4] +
2 (-(( a12 a13)/a) + a23) s[2] s[3] +
2 (-(( a12 a14)/a) + a24) s[2] s[4])],
Evaluate[Sequence @@ Table[{s[eta], 0, Infinity}, {eta, 2, nu}]]]
Sqrt[\[Pi]]
1/a14 NIntegrate[
Erfc[u] Exp[(
2 a14 a24 s[2] (-Sqrt[2] Sqrt[a] u + a12 s[2]) -
d (2 a u^2 - 2 Sqrt[2] Sqrt[a] a12 u s[2] + a12^2 s[2]^2) +
a14^2 (2 u^2 - b s[2]^2))/(
2 a14^2) + ((Sqrt[2] Sqrt[
a] (-a14 a34 + a13 d) u + (-a14^2 a23 + a13 a14 a24 +
a12 a14 a34 - a12 a13 d) s[2]) s[3])/
a14^2 - ((-2 a13 a14 a34 + a14^2 c + a13^2 d) s[3]^2)/(
2 a14^2)], {u, 0, Infinity}, {s[2], 0,
Sqrt[2] Sqrt[a]/a12 u}, {s[3], 0, (Sqrt[2 a] u - a12 s[2])/a13}]
Pi/Sqrt[2 dd]
NIntegrate[
Erfc[u] Exp[(A00 u^2 + A10 u s[2] + A11 s[2]^2)/(
2 (dd))] (Erf[(B1 u + B2 s[2])/( a13 Sqrt[2 dd])] +
Erf[(C1 u + C2 s[2])/( a14^1 Sqrt[2 dd])]), {u, 0,
Infinity}, {s[2], 0, Sqrt[2] Sqrt[a]/a12 u}]
Now, I will provide the result. Note that the only assumptions on the underlying matrix ${\bf A}$ are that it is symmetric and that its elements are non-negative. Firstly let us define:
\begin{eqnarray}
&&{\mathfrak J}^{(1,1)}(a,b,c)= \frac{1}{\pi^2}\cdot \left(\right.\\
&&\left.
-\frac{1}{8}
\sum\limits_{i=1}^4 \sum\limits_{j=1}^4
(-1)^{j-1+\lfloor \frac{i-1}{2} \rfloor }
%
{\mathfrak F}^{(1,\frac{\sqrt{1+2 a^2+b^2} - \sqrt{2} a}{\sqrt{1+b^2}})}_{\frac{i \sqrt{b^2 c^2+b^2+1} (-1)^{\left\lfloor
\frac{j-1}{2}\right\rfloor }+i b c (-1)^j}{\sqrt{b^2+1}},-\frac{b
(-1)^i+i (-1)^{\left\lceil \frac{i-1}{2}\right\rceil
}}{\sqrt{b^2+1}}}
%
\right. \\
&&\left.
\right)\quad (ii)
\end{eqnarray}
where ${\mathfrak F}^{(A,B)}_{a,b}$ is related to di-logarithms and is defined in An integral involving a Gaussian, error functions and the Owen's T function. .
Then we define another function as follows:
\begin{equation}
{\bar {\mathfrak J}}^{(1,1)}(a,b,c):= \frac{\pi}{2} \arctan\left[ \frac{\sqrt{2 a} c}{\sqrt{2 a+b^2(1+c^2)}}\right] - \frac{\pi}{2} \arctan\left[ c\right] - 2 \pi^2 {\mathfrak J}^{(1,1)}(\frac{1}{\sqrt{2 a}},\frac{b}{\sqrt{2 a}},c)
\end{equation}
and then the following quantities that depend on the underlying matrix. We have:
\begin{eqnarray}
\delta&:=& a_{3,3} a_{4,1}^2 - 2 a_{3,1} a_{3,4} a_{4,1} + a_{4,4} a_{3,1}^2\\
W&:=&\left(a_{3,3} a_{4,4}-a_{3,4}^2\right) a_{1,2}^2+2 a_{1,4} (a_{2,3}
a_{3,4}-a_{2,4} a_{3,3}) a_{1,2}+2 a_{1,3} (a_{2,4} a_{3,4}-a_{2,3} a_{4,4})
a_{1,2}+a_{1,4}^2 \left(a_{2,2} a_{3,3}-a_{2,3}^2\right)+2 a_{1,3} a_{1,4}
(a_{2,3} a_{2,4}-a_{2,2} a_{3,4})+a_{1,3}^2 \left(a_{2,2}
a_{4,4}-a_{2,4}^2\right)\\
W_1&:=&2 \sqrt{a_{1,1}} \left(a_{1,4} (a_{2,4} a_{3,3}-a_{2,3} a_{3,4})+a_{1,3} (a_{2,3}
a_{4,4}-a_{2,4} a_{3,4})+a_{1,2} \left(a_{3,4}^2-a_{3,3} a_{4,4}\right)\right)\\
%
v_1&:=&\frac{1}{a_{4,1} \sqrt{\delta}} \left( \sqrt{a_{1,1}}(a_{3,4} a_{4,1} - a_{3,1} a_{4,4}),-a_{2,4} a_{3,1} a_{4,1} + a_{2,3} a_{4,1}^2+a_{2,1}(-a_{3,4} a_{4,1}+a_{3,1}a_{4,4})\right)\\
v_2&:=&-\frac{1}{a_{3,1} \sqrt{\delta}} \left(\sqrt{a_{1,1}}(a_{3,4} a_{3,1} - a_{4,1} a_{3,3}),-a_{3,1} a_{3,2} a_{4,1} +a_{2,4} a_{3,1}^2 + a_{2,1}(-a_{3,4} a_{3,1}+a_{4,1}a_{3,3}) \right)\\
%
\left( A, B \right)&:=& \frac{1}{\delta} \left( W,W_1 \right)\\
\left( {\bf a}_1,{\bf a}_2 \right)&:=& \frac{1}{\sqrt{A}} \left(v_1(2),v_2(2) \right)\\
{\bf b}_1&:=& \sqrt{2} v_1(1) - \frac{B}{\sqrt{2} A} v_1(2)\\
{\bf b}_2&:=& \sqrt{2} v_2(1) - \frac{B}{\sqrt{2} A} v_2(2)\\
x&:=& \frac{\sqrt{a_{1,1}}}{a_{2,1}}
\end{eqnarray}
Then the result reads:
\begin{eqnarray}
&&P=\frac{1}{\det({\bf A})} \left(\right.\\
%
&& {\bar {\mathfrak J}}^{(1,1)}\left( \frac{\det({\bf A})}{W},\frac{B}{\sqrt{2 A}},{\bf a}_2+\frac{\sqrt{2 A} {\bf b}_2}{B}\right) -
{\bar {\mathfrak J}}^{(1,1)}\left( \frac{\det({\bf A})}{W},\frac{B+2 A x}{\sqrt{2 A}},{\bf a}_2+\frac{\sqrt{2 A} {\bf b}_2}{B+2 A x}\right)+\\
&&\!\!\!\!\!\!\!\!\!\!\!\!\!\!\!\!\!\!\!\!\!\!\!\!\!\!\! {\bar {\mathfrak J}}^{(1,1)}\left( \frac{\det({\bf A})}{W},\frac{{\bf b}_2}{\sqrt{1+{\bf a}_2^2}},{\bf a}_2+\frac{B(1+{\bf a}_2^2)}{\sqrt{2 A}{\bf b}_2}\right) -
{\bar {\mathfrak J}}^{(1,1)}\left( \frac{\det({\bf A})}{W},\frac{{\bf b}_2}{\sqrt{1+{\bf a}_2^2}},{\bf a}_2+\frac{(B+2 A x)(1+{\bf a}_2^2)}{\sqrt{2 A}{\bf b}_2}\right)+\\
%
&& -{\bar {\mathfrak J}}^{(1,1)}\left( \frac{\det({\bf A})}{W},\frac{B}{\sqrt{2 A}},{\bf a}_1+\frac{\sqrt{2 A} {\bf b}_1}{B}\right) +
{\bar {\mathfrak J}}^{(1,1)}\left( \frac{\det({\bf A})}{W},\frac{B+2 A x}{\sqrt{2 A}},{\bf a}_1+\frac{\sqrt{2 A} {\bf b}_1}{B+2 A x}\right)+\\
&&\!\!\!\!\!\!\!\!\!\!\!\!\!\!\!\!\!\!\!\!\!\!\!\!\!\!\! -{\bar {\mathfrak J}}^{(1,1)}\left( \frac{\det({\bf A})}{W},\frac{{\bf b}_1}{\sqrt{1+{\bf a}_1^2}},{\bf a}_1+\frac{B(1+{\bf a}_1^2)}{\sqrt{2 A}{\bf b}_1}\right) +
{\bar {\mathfrak J}}^{(1,1)}\left( \frac{\det({\bf A})}{W},\frac{{\bf b}_1}{\sqrt{1+{\bf a}_1^2}},{\bf a}_1+\frac{(B+2 A x)(1+{\bf a}_1^2)}{\sqrt{2 A}{\bf b}_1}\right)\\
%
&&\left.\right)
\end{eqnarray}
I can provide a code for testing the above expression if anyone is interested.
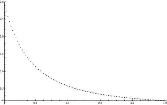
Now, in the particular case when all the diagonal elements of the matrix ${\bf A}$ are equal unity and all the cross diagonal terms are equal to $\rho$ where $0 \le \rho \le 1$ then the result reads:
\begin{eqnarray}
&&P=\\
&&\frac{2 \pi ^{3/2}}{\sqrt{(1-\rho )^3 (3 \rho +1)}}
\left( \frac{\pi -3 \arctan\left(\sqrt{\frac{3 \rho +1}{\rho +1}}\right)}{2 \sqrt{\pi }} +6\sqrt{\pi} {\mathfrak J}^{(1,1)}\left( \frac{\sqrt{\frac{3}{2}} \rho }{\sqrt{(1-\rho ) (3 \rho +1)}},\frac{\sqrt{1-\rho }}{\sqrt{2} \sqrt{(1-\rho ) (3 \rho +1)}},\sqrt{3}\right)\right)
\end{eqnarray}
Below I plot the quantity $P$ as a function of $\rho$. Note that the value $P(\rho=0) = \pi^2/4 \simeq 2.4674$ as it is.
