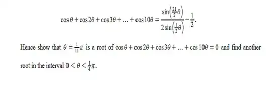
Given that
I can do part of this question so here goes:
Substituting $\theta=\frac{1\pi}{11}$ into LHS of given expression gives $$\cos\frac{1\pi}{11} + \cos\frac{2\pi}{11} + \cos\frac{3\pi}{11} +\ldots+\cos\frac{10\pi}{11} = RHS =\frac{\sin(\frac{21\pi}{22})}{2{\sin(\frac{1\pi}{22})}} - \frac{1}{2}$$ and since $$\sin(\frac{21\pi}{22}) = \sin(\pi-(\frac{21\pi}{22})) = \sin(\frac{1\pi}{22})$$ this makes the RHS equal to $\frac{1}2-\frac{1}{2} = 0$ as required so that $\theta=\frac{1\pi}{11}$ is indeed a root as mentioned.
But I am really stuck on trying to find another root in the interval they mention. Please help.
Thank you kindly.