I have two questions.
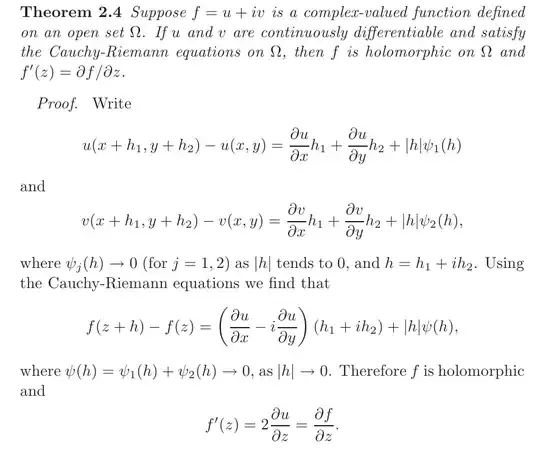
My book proves that if $f:\mathbb{C}\rightarrow \mathbb{C}$ is a holomorphic function, then it satisfies the Cauchy-Riemann equations, and if we look at the function as $F: \mathbb{R}^2\rightarrow \mathbb{R}^2$, then this function is differentiable. The point is that we are looking at conditions when we can go from complex differentiability(holomorphic), to differentiability when we look at the function in terms of real variables only ,that is differentiability in multivariate calculus.
question 1:
The book also has the converse of the above[picture], and in the converse result they write $ f = u(x,y)+i*v(x,y)$, where $z=x+i*y$, now in the converse result they have that the u and v must be continuously differentiable, why not only differentiable? Do you guys see in the proof where they need to use that it is continuously differentiable and it would fail if they were only differentible?
question 2:
A related question is: If we have a function $h: \mathbb{R}^2\rightarrow \mathbb{R}^2 $. And we know that the partial derivatives exist, but they are not continous, will it may be that h is not differentiable?
