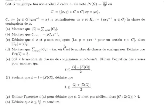
let $G$ a finite group, not abelian. I don't know if a short proof of this fact exists :
$$\mathbb{P}(xy = yx) \leq 5/8$$ $x,y$ are randomly picked.
Edit : If possible, i want to know if there is a shorter proof than this one :

(in french sorry)
let $G$ a finite group, not abelian. I don't know if a short proof of this fact exists :
$$\mathbb{P}(xy = yx) \leq 5/8$$ $x,y$ are randomly picked.
Edit : If possible, i want to know if there is a shorter proof than this one :

(in french sorry)
Well, this scanned proof is quite simple. The point is that for a non-abelian group, the center has index at least 4, and the centralizer of any non-central has index at least 2. Hence, if $n=|G|$, the number of commuting pairs is
$$\le |Z(G)||G|+(|G|-|Z(G)|)\frac{|G|}2\le \frac{n}4n+\frac{3n}4\frac{n}2=n^2(1/4+3/8)=\frac58n^2.$$
The proof provides obvious improvements. For instance if a finite non-abelian group $G$ has odd order (or more generally has no quotient of order 2), then the center has index at least 9, the centralizer of any non-central has index at least 3, and hence the number of commuting pairs is
$$\le |Z(G)||G|+(|G|-|Z(G)|)\frac{|G|}2\le \frac{n}9n+\frac{8n}9\frac{n}3=n^2(1/9+8/27)=\frac{11}{27}n^2.$$