2

I'm looking for an easy way to make a 'dynamic' paper for some engineering calculations (I'm talking about hundreds of pages with lots of different formulas). The problem is hard to describe so I'll show a picture - this is a sample of the expected output output

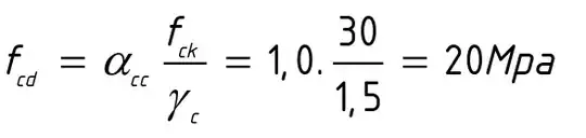
Formula -> Values of the Variables -> Final Result [Dimension]

So I typed the following

input

And the output is just 20. (Without showing formula).

I saw that HoldForm can print the formula and ReleaseHold can print the final output. But I can't find a way to show the intermediate result - where all variables are substituted by their values.

Subscript[α, c*c] = 1.; 
Subscript[f, c*k] = 30; 
Subscript[γ, c] = 1.5; 
Subscript[f, c*d] = Subscript[α, c*c]*(Subscript[f, c*k]/Subscript[γ, c])
bbgodfrey
  • 61,439
  • 17
  • 89
  • 156

2 Answers2

2

You may use HoldForm along with Inactivate to produce the results you seek.

First I suggest changing the input of your subscripts so they are not multiplying the indices. You can do this by inserting Esc,Esc in between the indices to have them not multiply. The full form is then Subscript[f, c, d].

Moving on:

ClearAll[showSubstitution];
Attributes[showSubstitution] = {HoldAll};
showSubstitution[sym_, formula_] := 
 HoldForm[sym] == HoldForm[formula] == 
  Inactivate[formula, Except[Subscript]] == formula 

showSubstitution takes the symbol of the formula ($f_{c,d}$) and the formula ($\frac{\alpha _{c,c} f_{c,k}}{\gamma _c}$) and displays the substitution steps to the result. It does loose the fraction formatting on the substitution as the denominator is taken to be the value to power -1.

Subscript[f, c, k] = 1;
Subscript[α, c, c] = 30;
Subscript[γ, c] = 1.5;

Subscript[f, c, d] = (Subscript[f, c, k]*Subscript[\[Alpha], c, c])/Subscript[\[Gamma], c]

showSubstitution[Subscript[f, c, d], 
 (Subscript[f, c, k] Subscript[α, c, c])/Subscript[γ, c]]

$\gamma _c=1.5;$

$\alpha _{c,c}=30;$

$f_{c,k}=1;$

$f_{c,d}=\frac{\alpha _{c,c} f_{c,k}}{\gamma _c};$

$\text{showSubstitution}\left(f_{c,d},\frac{\alpha _{c,c} f_{c,k}}{\gamma _c}\right)$

$f_{c,d}=\frac{f_{c,k} \alpha _{c,c}}{\gamma _c}=1*30*1.5{}^{\wedge}(-1)=20.$

HoldForm (and HoldAll on the function attributes) keeps the symbols from being replaced with their values. Inactivate allows the values to be substituted in but prevents the functions from executing. Subscript is Excepted so the symbols with subscripts will resolve.

Hope this helps.

Edmund
  • 42,267
  • 3
  • 51
  • 143
0

You can create rules which include HoldForm:

r = {Subscript[α, c c] -> HoldForm[1.0],
Subscript[f, c k] -> HoldForm[30],
Subscript[γ, c] -> HoldForm[1.5]}

Then use the rules:

Subscript[f, c d] = Subscript[α, c c] 
Subscript[f, c k]/Subscript[γ, c] /. r

Will give you:

1. 30 / 1.5
bbgodfrey
  • 61,439
  • 17
  • 89
  • 156
Peter Roberge
  • 2,357
  • 11
  • 19
  • Is there an easier way? I got the idea but it's too much work for only a single formula and there will be a lot more. And when I have to chain it with the next formulas (use the results from this) - it's getting messy. (I tried to Append[r, Fcd -> HoldForm[Fcd]] and the list looks the opposite of what it should look - Instead of Fcd->20 it's 20->Fcd). – user5589484 Nov 21 '15 at 20:00