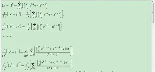
[![enter image description here][1]][1]
I was wondering how to get the following result by mathematica or maple or other way
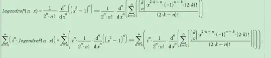
I have asked this question several days ago and recently I have got some new ideas,in the last equation of my new submitted pictures ,WE can got the simplest result of the left formula is!(1/\@(1 + t\^2 - 2\ t\ x)),so the right formula is also this result ,but in mathematica I get the result of thr right formula a Hypergeometric Function,so I was wondering how to get the simplest result as the left formula?

