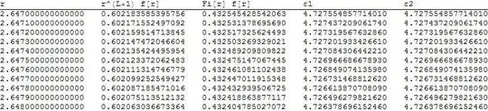
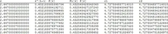
I want to see first 15 digits for the values in the table computed below.
n = 0; a = 1; L = 3; m = 1/2; b = 1; g = (2 m a r)/(n + L + 1);
Fi[r_] = (r)^(L + 1)Exp[-(( m a)/(n + L + 1)) r] LaguerreL[n, 2 L + 1, g];
f[r_] = AiryAi[(2 m b)^(1/3) (r)];
ψ[r_] = Fi[r] f[r];
Plot[{r^(L + 1) f[r], Fi[r] f[r]}, {r, 0, 5}]
dr = 0.00000001;
ε1 = (a/(L + 1) - (L + 1)/(m r)) f'[r]/f[r] + (-m a^2)/(2 (n + L + 1)^2);
ε2 = -ψ''[r]/((2 m) ψ[r]) + (-(a/r) + b r + (L (L + 1))/(2 m r^2));
data = Table[{r, r^(L + 1) f[r], ψ[r], ε1, ε2}, {r, 2.647, 2.648, dr}];
TableForm[data,
TableHeadings -> {None, {"r", "r^(L+1) f[r]", "Fi[r] f[r]", "ε1", "ε2"}}]




