I did not notice this post until today.
MaTeX has two options for setting the size of the output:
When I work with MaTeX, I tend to set all its option to my preferred value at the start of the session, like this
SetOptions[MaTeX, Magnification -> ..., FontSize -> ..., ...]
I.e. just what @martin mentioned.
Mathematica's default font size is 14, but MaTeX's is 12. So you may want to start with FontSize -> 14 and leave Magnification at the default value of 1.
Here's a little demo of how FontSize and magnification differ:
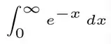
MaTeX["\\int_0^\\infty e^{-x}\\, dx", FontSize -> 20, Magnification -> 1]

MaTeX["\\int_0^\\infty e^{-x}\\, dx", FontSize -> 10, Magnification -> 2]

MaTeX["\\int_0^\\infty e^{-x}\\, dx", FontSize -> 5, Magnification -> 4]

5 pt is designed for legibility at small sizes and looks awkward magnified 4 times. 20 pt is designed for beauty when displayed at its actual size.
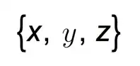
Since version 1.2.0 it also has the options ContentPadding and LineSpacing which effectively control vertical margins and shouldn't be necessary most of the time. Here's a small demo:
f = Framed[#, ContentPadding -> False, FrameMargins -> None,
FrameStyle -> AbsoluteThickness[1]] &;
f /@ MaTeX /@ {"x", "y", "M"}

f /@ (MaTeX[#, LineSpacing -> {1, 0}] &) /@ {"x", "y", "M"}

f /@ (MaTeX[#, ContentPadding -> False] &) /@ {"x", "y", "M"}

Both options follow the standard Mathematica usage. LineSpacing -> {m,a} makes the line height be m*fontsize + a, in points. ContentPadding -> True enforces a minimal height equal to one line heigh for the output. A display style output is usually taller than one line height, so it won't make a difference there.
Here's a little modification to @Mike's special cell style.
CellPrint@
Cell[StyleData["MaTeX", StyleDefinitions -> StyleData["Program"]],
MenuSortingValue -> 1510,
CellEpilog :> (SelectionMove[EvaluationCell[], All, GeneratedCell];
FrontEndTokenExecute[EvaluationCell[], "Style",
"DisplayFormulaNumbered"]),
Evaluatable -> True,
CellEvaluationFunction -> (MaTeX[
First[FrontEndExecute[ExportPacket[Cell[#1], "InputText"]]]] &),
CellFrameLabels -> {{None, "MaTeX"}, {None, None}},
CellGroupingRules -> "InputGrouping"]
Sorry about the messy code formatting. This is a special evaluatable input cell that renders LaTeX code:

You could probably modify this to suit your need better. One advantage is that there's no need to type \\ all the time anymore. A single \ will be fine.
Finally, I have to give a few warnings, as this is not really the use case I anticipated for MaTeX. I made MaTeX because I wanted to have more beautiful labels in publication figures. But I never meant it to be used for in-notebook display. There will be a few disadvantages if you do this.
MaTeX returns the result as vector graphics. This takes up considerably more space than the text equivalent.
expr = HoldForm[Integrate[Exp[-x], {x, 0, Infinity}]]
ByteCount /@ {expr, MaTeX[expr]}
(* {304, 24328} *)
MaTeX's output is really meant for print or for PDF viewers, which tend to render vector graphics with quite a lot of care. Font glyphs are always rendered differently by computers than other vector drawings. Text rendering is special and it is optimized for legibility. This is going to be lost with MaTeX because it converts everything to simple curves. If you use a "retina" display, you will not be able to notice this. But many of your readers will have low resolution screens, and to them the MaTeX output will look more "blurry" than other text.
My personal opinion about this is that if the formulas are displayed in a large enough size (and if there aren't too many of them), then LaTeX's superior typesetting outweighs the disadvantage of the blurriness. But it's something to be aware of.
MaTeX takes great care to preserve the baseline. Thus mixing MaTeX output with text should be okay in theory ... it looks like this in large size.

But it turns out that the front end aggressively rounds everything to integer screen pixels early in the display pipeline, and this causes misalignments when displaying things at standard sizes:

So in practice it won't be possible to mix MaTeX output with standard text and still make it look good.
All in all, I would be very careful with using too much MaTeX in a CDF document. In figures meant for print/PDF I use it all the type. If I had to use it in CDF, I would restrict it to a few display formulas only, and I would be very careful to keep everything legible at lower resolution screens.
TraditionalFormlooks really traditional (as close to $\LaTeX$ as it ever was). See my question Inconsistent display of TraditionalForm in version 9 for ways to get this older styling back. To enter displayed equations, I follow some variation of this answer. I usually create PDFs of notebooks and distribute them along with the source. However, PDF export is never great (e.g., no reference links). – Jens Feb 27 '16 at 03:59FontSizeandMagnificationboth of which can be used to achieve consistent resizing of text. – Quantum_Oli Feb 27 '16 at 12:08MaTeX`Developer`$Version. – Szabolcs Feb 29 '16 at 18:04