Part 1
I am trying to solve a simple system of equations as follows
Solve[{A x^B == f, A y^B == g}, {A, B}]
But I just get the error
Solve::nsmet: This system cannot be solved with the methods available to Solve. >>
I also tried
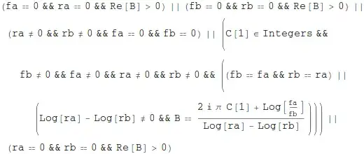
Reduce[{A x^B == f, A y^B == g}, {A, B}]
to no avail as it lead to an endless evaluation!
I know that in such cases
1- It is a matter of assumptions or conditions that may have not been given to the solver in order to find the solution!
2- Or simply, Solve doesn't know how to solve the equation symbolically due to complexity.
However, I couldn't find any useful assumptions to pass to Mathematica or any complexity. Also, I got excited when I saw that Maple just solved it without any assumptions needed as the following picture shows.
So, what is going on here? :)
Any help is appreciated.
Part 2
I made some progress that is indicated in my answer below. So, please read it before looking to the questions of this part.
The following questions still remained unanswered to me!
1- Why the command
Reduce[{A x^B == f, A y^B == g}, {A, B}]
does not work here?
2- Why I just cannot get the solution in Real domain by the following command?
Solve[{A x^B == f, A y^B == g}, {A, B},Reals,MaxExtraConditions -> Automatic]



