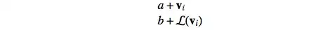
I am trying to put labels that look like the following,
I use
Graphics[{Text[
Style[ToExpression["a+\\bm{v}_i", TeXForm, HoldForm],
FontSize -> 14, FontFamily -> "Times New Roman"], {0, 0}],
Text[Style[ToExpression["b+\\cal{L}(\\bm{v}_i)", TeXForm, HoldForm],
FontSize -> 14, FontFamily -> "Times New Roman"], {0, .2}]}]
but do not get result as expected. Is there any way to solve this? Thank you!





Text["a+\!\(\[ScriptV]\_i\)"]andText["b+\[ScriptCapitalL](\!\(\[ScriptV]\_i\))"]– JungHwan Min Aug 07 '16 at 22:18