For my Calc III class, I need to find $T(t)$, $N(t)$, and $k(t)$ using Mathematica, given $r(t) = {sqrt(t), (1/2)t^2, t^3 - (5/2)t^2 - 17}$. While the former and latter have been found, attempting to use the same method used to get $T(t)$ in order to find $N(t)$ has had... messy results, as seen in the following image.
(If the image doesn't show, it is basically an eight line mess full of Abs.
The code used is:
N1[t_] = Simplify[T'[t] / Norm[T'[t]], t ∈ Reals]
By hand, it starts getting ridiculously nasty around $||T'(t)||$, and I can't even begin to figure out $N(t)$, so I couldn't tell you if the result given is even remotely correct. What Mathematica gave me for $T(t)$ matched up with what I got by hand, so I know that, at the very least, Mathematica got that right or otherwise as wrong as I have.
I've tried doing a Google search for anything that could help compute $N(t)$, but nothing has proven useful.
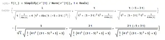
For $T(t)$, I have gotten the following:

T(t) = {1 / sqrt(t) sqrt((1/t)(4t^3((3t - 5)^2 + 1) + 1)), 2t / sqrt((1/t)(4t^3((3t - 5)^2 + 1) + 1)), 2t(3t - 5) / sqrt((1/t)(4t^3((3t - 5)^2 + 1) + 1))}
(I apologize if the formatting is nasty; I've never really done this before, so I don't know how to properly clean it up.)
Norm[]altogether:Simplify[T'[t]/Sqrt[T'[t].T'[t]]]. You might be interested in looking atFrenetSerretSystem[], too. – J. M.'s missing motivation Oct 07 '16 at 02:11Abs. – krourou2 Oct 07 '16 at 02:17Simplify[r'[t]/Sqrt[r'[t].r'[t]]]. Make sure to clear all variables before trying all of these. – J. M.'s missing motivation Oct 07 '16 at 02:19