I compared the results of an integration exercise, one was done by Mathematica Alpha, the other one was done by hand on my own. I'm sure MA is right, however I could not find out which step went wrong on my own calculation. Could anybody help? Can MA show the intermediate steps?

Asked
Active
Viewed 395 times
1
Putterboy
- 4,661
- 1
- 19
- 30
-
Were you using W|A on mobile? This has steps for me: http://www.wolframalpha.com/input/?i=integrate+Sqrt%5Bsin(x)+-+sin(x)%5E3%5D+from+0+to+pi – Greg Hurst Oct 17 '16 at 17:51
-
1Your mistake is assuming $\sqrt{1 - \sin^2(x)} = \cos(x)$, when it actually equals $|\cos(x)|$. – Greg Hurst Oct 17 '16 at 17:52
-
Followed your link, the result was more or less the same as I posted here. The question is how MA got the last Indefinite integral listed above, and the result should be zero if substitute Pi and 0 into it, not as the answer 1.33333 listed in the begining. – Putterboy Oct 17 '16 at 18:11
-
Here is the link I got the result listed above:http://www.wolframalpha.com/widgets/view.jsp?id=8ab70731b1553f17c11a3bbc87e0b605 – Putterboy Oct 17 '16 at 18:14
-
Are you on mobile? In my browser (on my desktop) that link has a step-by-step button. The mobile app has step-by-step solutions. – Greg Hurst Oct 17 '16 at 18:14
-
Don't use a widget, they don't have step-by-step buttons. Use wolframalpha.com instead. – Greg Hurst Oct 17 '16 at 18:15
-
Oh, yes I only got the first two steps and "To see all the steps got Pro now." Do you mind post what you saw on your screen? – Putterboy Oct 17 '16 at 18:19
1 Answers
2
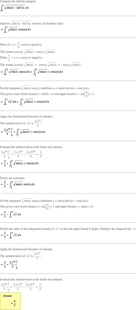
WolframAlpha["Integrate[Sqrt[Sin[x]-Sin[x]^3],{x,0,Pi}]", {{"Input",
2}, "Content"}, PodStates -> {"Input__Step-by-step solution"}]
Bob Hanlon
- 157,611
- 7
- 77
- 198
