I have:
Clear[z]
Solve[z^4 == 1 - Sqrt[3] I, z] // ComplexExpand
Which produces these solutions:
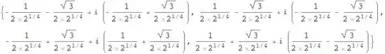
{{z -> -(1/(2 2^(1/4))) - Sqrt[3]/(2 2^(1/4)) +
I (-(1/(2 2^(1/4))) + Sqrt[3]/(2 2^(1/4)))}, {z ->
1/(2 2^(1/4)) - Sqrt[3]/(2 2^(1/4)) +
I (-(1/(2 2^(1/4))) - Sqrt[3]/(2 2^(1/4)))}, {z -> -(1/(
2 2^(1/4))) + Sqrt[3]/(2 2^(1/4)) +
I (1/(2 2^(1/4)) + Sqrt[3]/(2 2^(1/4)))}, {z ->
1/(2 2^(1/4)) + Sqrt[3]/(2 2^(1/4)) +
I (1/(2 2^(1/4)) - Sqrt[3]/(2 2^(1/4)))}}
What would be the easiest way to convert these to a list of arrows to plot in the Argand plane. For example, the cube roots of -1:
Graphics[{
Circle[],
Blue, Thick,
Arrow[{{0, 0}, {-1, 0}}],
Arrow[{{0, 0}, {1/2, Sqrt[3]/2}}],
Arrow[{{0, 0}, {1/2, -Sqrt[3]/2}}]
}, Axes -> True, ImageSize -> Small]
Produces this image:
But I am looking for a cute way to convert all the data in the first problem, $z^4=1-\sqrt3 i$, into a list of arrows.





