I'll answer with a more general module I've done for converting trig expressions. An overkill here, but anyway:
trigSet[exp_, inTerm_] :=
Module[{trigSyms, rels, set, setRep, setRep1, toLow, oneInTermsOf, allInTermsOf, fq,
ruleAll, convert},
trigSyms = {Sin, Cos, Tan, Cot, Sec, Csc};
rels = {csc sin == 1, cos^2 + sin^2 == 1, 1 == cos sec, tan == sin/cos, cot tan == 1};
set = ToExpression /@ ToLowerCase /@ SymbolName /@ trigSyms;
setRep = Thread[set -> (ToExpression /@ (StringJoin[#, "[x_]"] & /@ ToString /@ set))];
setRep1 = Thread[set -> (ToExpression /@ (StringJoin[#, "[x]"] & /@ ToString /@ set))];
toLow = Thread[trigSyms -> set];
oneInTermsOf[one_, of_] := Solve[rels, {one}, Complement[set, {one, of}]];
allInTermsOf[of_] := Flatten[oneInTermsOf[#, of] & /@ Complement[set, {of}]];
fq[x_, y_] := FreeQ[x, Alternatives @@ Complement[set, {y}]];
ruleAll[of_] := Rule @@@ Transpose[{#[[1]] /. setRep, #[[2]] /. setRep1} &@
Transpose@(List @@@ allInTermsOf[of])];
convert[expr_, inTerms_] := FullSimplify@ Union@Select[
Flatten@NestWhile[# /. (List /@ ruleAll[inTerms]) &, {TrigExpand[expr] /.
toLow }, ! Or @@ (fq[#, inTerms] & /@ Flatten@#) &], fq[#, inTerms] &];
HoldForm[ Evaluate@convert[exp, inTerm]] /. (Reverse /@ toLow)
]
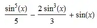
trigSet[(5 Sin[x])/8 + 5/48 Sin[3 x] + 1/80 Sin[5 x], sin]
(*
-> {Sin[x]-(2 Sin[x]^3)/3+Sin[x]^5/5}
*)
Test it with more difficult expressions:
trigSet[Cos[3 x] - Tan[2 x] + Cot[3 x]^2, sin]
Edit
Depending on your expression, because of the signs in the radicals, you could need more than one "converted" one to cover the whole domain. For example:
s = Cos[x] Sin[x];
s0 = trigSet[s, sin]
s1 = FullSimplify[Reduce[# == s, x, Reals] & /@ ReleaseHold[s0] /. _Equal -> False]
(*
{-Sin[x] Sqrt[1-Sin[x]^2],Sin[x] Sqrt[1-Sin[x]^2]}
{C[1] \[Element] Integers &&
((Pi + x > 2 Pi C[1] && Pi + 2 x <= 4 Pi C[1]) || Pi/2 <= x - 2 Pi C[1] < Pi),
C[1] \[Element] Integers &&
-(Pi/2) <= x - 2 \[Pi] C[1] <= Pi/2}
*)
Still working in automating this last process, but you can plot it like:
f[x_] := Piecewise[{{-Sin[x] Sqrt[1 - Sin[x]^2],
Resolve[Exists[C[1], Element[C[1], Integers],
((Pi + x > 2 Pi C[1] && Pi + 2 x <= 4 Pi C[1]) ||
Pi/2 <= x - 2 Pi C[1] < Pi)]]},
{Sin[x] Sqrt[1 - Sin[x]^2],
Resolve[Exists[C[1], Element[C[1], Integers],
-(Pi/2) <= x - 2 \[Pi] C[1] <= Pi/2]]}}];
Plot[{f[x], Sin[x] Cos[x]}, {x, 0, 2 Pi}, PlotStyle -> {{Thick, Dashed, Red}, Blue, Green}]

Integrate[Cos[x]^5, x] // TrigExpand // convert[#, Sin[x]] &using theconvertfunction defined in http://mathematica.stackexchange.com/questions/434/how-to-express-trigonometric-equation-in-terms-of-of-given-trigonometric-functio – chris Oct 17 '12 at 15:46TrigExpandis becoming one of my most favorite functions even though I am yet to utilize it! – dearN Oct 17 '12 at 19:01