I'm wondering if it is possible to reproduce a figure like this.
This is my datasets
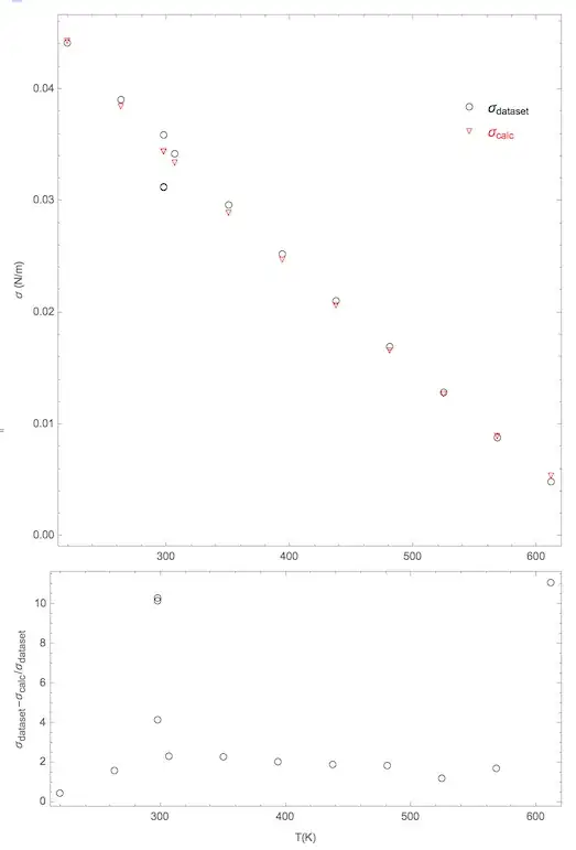
data1 = {{{220., 0.04408}, {263.56, 0.039005}, {298.15,
0.03584}, {298.15, 0.0312}, {298.15, 0.03116}, {307.11,
0.034167}, {350.67, 0.029564}, {394.22, 0.025179}, {437.78,
0.020971}, {481.33, 0.01687}, {524.89, 0.012809}, {568.44,
0.0087698}, {612., 0.0048324}}, {{220., 0.04426881}, {263.56,
0.038393334}, {298.15, 0.0343651}, {298.15, 0.0343651}, {298.15,
0.034365}, {307.11, 0.0333877}, {350.67, 0.02889785}, {394.22,
0.024674893}, {437.78, 0.020577023}, {481.33,
0.0165636}, {524.89, 0.012658171}, {568.44, 0.0089168}, {612.,
0.00536660}}};
data2 = {{220., 0.428351}, {263.56, 1.568171}, {298.15,
4.11516}, {298.15, 10.14462}, {298.15, 10.286021}, {307.11,
2.2807}, {350.67, 2.2532}, {394.22, 2.0020}, {437.78,
1.8786732}, {481.33, 1.8159621}, {524.89, 1.177}, {568.44,
1.67673}, {612., 11.05458}};
And this is my complicated code:
aspectRatio = 0.7;
GraphicsColumn[{ListPlot[data1, AspectRatio -> aspectRatio1,
Frame -> True, Axes -> False, ImageMargins -> 20,
PlotStyle -> {Black, Red},
PlotMarkers -> {"\[EmptyCircle]", "\[EmptyDownTriangle]"}],
ListPlot[data2, AspectRatio -> aspectRatio, Frame -> True,
Axes -> False, ImageMargins -> 20,
PlotMarkers -> {"\[EmptyCircle]"}, PlotStyle -> Black]},
Epilog ->
Style[{Text["T(K)", Scaled@{.5, .02}],
Rotate[Text[
"|\!\(\*SubscriptBox[\(\[Sigma]\), \
\(dataset\)]\)-\!\(\*SubscriptBox[\(\[Sigma]\), \
\(calc\)]\)|/\!\(\*SubscriptBox[\(\[Sigma]\), \(dataset\)]\)",
Scaled@{.01, .25}], 90 Degree],
Rotate[Text["\[Sigma] (N/m)", Scaled@{.01, .75}], 90 Degree],
Text["\[EmptyCircle] \!\(\*SubscriptBox[\(\[Sigma]\), \
\(dataset\)]\)", Scaled@{.85, .85}],
Text[Style[
"\[EmptyDownTriangle] \!\(\*SubscriptBox[\(\[Sigma]\), \
\(calc\)]\)", Red], Scaled@{.835, .83}]}, 12],
PlotRangePadding -> {0, 150}, ImageSize -> 500]
This code generates this picture that is quite similar to the first one:
Now I'm wondering:
Why the left border of the first picture isn't aligned with the second one?
Is it possible to have the second picture with a different aspectRatio just like the fist one?
My code is very complicated. There is a more smart way to do the same?
Cecyl.





FrameLabelto make things easier. Also seeColumnand set theImageSizesexplicitly and useAspectRatio -> Fullto set make the plots fill the whole space. – b3m2a1 Mar 16 '17 at 21:54