I am working on a code that will calculate the wave behavior of a gravitational wave as it scatters off of a black hole. It obeys the wave equation
D[u[t, x], t, t] + Vsx[x]*u[t, x] == D[u[t, x], x, x]
where Vsx is the potential function calculated earlier in the program. My initial conditions are u[0, x]=E^(-(1/8)*(x^2)) (A Gaussian Pulse), and my boundary conditions are that u[t,-700] and u[t,700]=0. I would like to evolve the wave to t=1000 s, and plot the natural log of the absolute value of the wavefunction at x=10. The behavior that I am supposed to observe is a ringdown effect with a power law tail which has been calculated before, using a Fortran code(see the first image).However, I get some numerical error that I cannot get rid of at around t=150 s that impairs any further evolution, as well as me observing the ringdown effect. Can someone help me figure out how to get rid of the numerical error that I get using this method? I also would like to speed up the run time, it is a bit slow, as it takes 135 s to evolve it to this point with the errors. However, I would rather it be accurate than fast. Thanks for all the help. Here is the code:
The wave is calculated using this code:
Timing[sol =
NDSolve[{D[u[t, x], t, t] + Vsx[x]*u[t, x] == D[u[t, x], x, x],
u[0, x] == E^(-(1/8)*(x^2)), Derivative[1, 0][u][0, x] == 0,
u[t, -700] == 0, u[t, 700] == 0 },
u, {t, 0, 250}, {x, -700, 700}];]
The potential function Vsx is calculated using this code:
rscalc[rm2m_] := rm2m + 2 m*(1 + Log[(rm2m)/(2 m)])
xmax = 700; xmin = -700; delx = 0.03; imax = Floor[(xmax - xmin)/delx];
rstar = xmax; m = 1.0; l = 2.0; rcour = 0.99; ntot = 3;
If[rstar > 4 m, r = rstar, r = 2 m*E^((rstar/(2 m)) - 1)];
rm2m = r - 2 m;
Do[rstest = rscalc[rm2m];
drsdr = (rm2m + 2 m)/rm2m;
rtempm2m = rm2m + (rstar - rstest)/drsdr;
rm2m = rtempm2m;, {i, 7}];
mesh = NDSolve[{rm2mc'[rs] == rm2mc[rs]/(rm2mc[rs] + 2 m),
rm2mc[rstar] == rm2m}, rm2mc, {rs, xmax, xmin}, AccuracyGoal -> 25,
PrecisionGoal -> 25, WorkingPrecision -> 50]
Plot[Evaluate[rm2mc[lex] /. mesh], {lex, -20, 20}, PlotRange -> All]
xtest = -250;
b = Evaluate[rm2mc[xtest] /. mesh]
xchck = rscalc[b];
err = xchck - xtest
V[rm2m_] := (rm2m/(rm2m +
2 m))*((l (l + 1))/(rm2m + 2 m)^2 + (2 m/(rm2m + 2 m)^3));
Plot[V[nax - 2 m], {nax, 0, 10}]
Vsx[x_] := V[Evaluate[rm2mc[x] /. mesh]];
Plot[Vsx[x], {x, -20, 20}]
XTab = Table[xmin + i*delx, {i, imax + 1}];
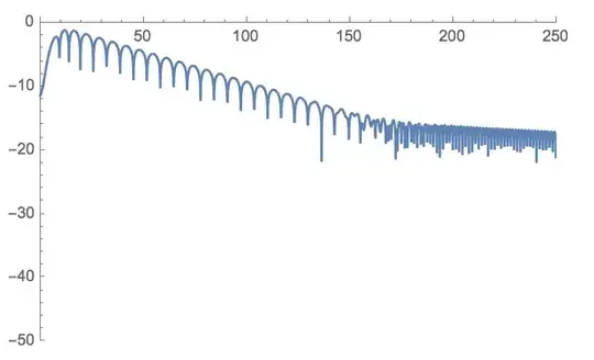
The above image displays the actual gravitational wave ringdown that is supposed to be calculated, according to previous calculations and in the literature.
This above image is my calculated ringdown using the NDSolve feature on Mathematica. As it can be seen, it obeys the actual ringdown closely until aroun 150 s.

Vsxto the right position such that when one copies the code that it actually runs? I have trouble understanding howVsxis computed is that a recursive definition? – user21 Jul 05 '17 at 13:35Timing[sol = NDSolve[{D[u[t, x], t, t] + Vsx[x]*u[t, x] == D[u[t, x], x, x], u[0, x] == E^(-(1/8)*(x^2)), Derivative[1, 0][u][0, x] == 0, u[t, -700] == 0, u[t, 700] == 0}, u, {t, 0, 250}, {x, -700, 700}];]into it - this is the first input which gives messages. – user21 Jul 05 '17 at 15:15sole.g.XTab, they only make your post look dirty. – xzczd Jul 06 '17 at 04:14