Tdata={{552.25,0.042,48.7},{552.25,0.046,44.5},{552.25,0.05,43.2},{552.25,0.054,39.2},{552.25,0.058,37.3},{552.25,0.062,35.3},{552.25,0.066,33.7},{552.25,0.07,34.3},{552.25,0.074,30.6},{552.25,0.078,29.7},{552.25,0.082,28.4},{552.25,0.086,27.5},{552.25,0.09,27.},{552.25,0.094,25.2},{552.25,0.098,23.2},{552.25,0.102,22.1},{552.25,0.106,22.4},{552.25,0.11,20.5},{552.25,0.114,21.},{552.25,0.118,20.1},{552.25,0.122,17.5},{552.25,0.126,18.4},{552.25,0.13,17.7},{552.25,0.134,17.1},{552.25,0.138,14.7},{552.25,0.142,14.8},{552.25,0.146,13.6},{552.25,0.15,13.8},{552.25,0.154,12.9},{552.25,0.158,11.9},{552.25,0.162,12.2},{552.25,0.166,12.7},{552.25,0.17,10.9},{552.25,0.174,11.5},{552.25,0.178,9.84},{552.25,0.182,10.6},{552.25,0.186,8.86},{552.25,0.19,8.6},{552.25,0.194,8.57},{552.25,0.198,7.62},{552.25,0.202,8.34},{552.25,0.206,7.88},{552.25,0.21,7.46},{552.25,0.214,7.1},{552.25,0.218,6.54},{552.25,0.222,7.},{552.25,0.226,6.38},{552.25,0.23,5.79},{552.25,0.234,5.49},{552.25,0.238,5.17},{552.25,0.25,4.61},{552.25,0.27,3.9},{552.25,0.29,3.21},{552.25,0.31,2.6},{552.25,0.33,2.16},{552.25,0.35,1.77},{552.25,0.37,1.46},{552.25,0.39,1.21},{552.25,0.41,0.982},{552.25,0.43,0.821},{552.25,0.45,0.656},{552.25,0.47,0.555},{552.25,0.49,0.453},{552.25,0.51,0.377},{552.25,0.53,0.307},{552.25,0.55,0.242},{552.25,0.57,0.2},{552.25,0.59,0.172},{552.25,0.61,0.145},{552.25,0.63,0.123},{552.25,0.65,0.106},{552.25,0.67,0.0843},{552.25,0.69,0.075},{552.25,0.71,0.0602},{552.25,0.73,0.0498},{552.25,0.75,0.0377},{552.25,0.77,0.0328},{552.25,0.79,0.0285},{552.25,0.825,0.018},{552.25,0.875,0.0106},{552.25,0.925,0.00654},{552.25,0.975,0.004},{552.25,1.025,0.00254},{1998.09,0.01026,78.7},{1998.09,0.01082,78.2},{1998.09,0.01138,77.1},{1998.09,0.01196,76.6},{1998.09,0.01256,76.7},{1998.09,0.01317,75.7},{1998.09,0.01379,75.},{1998.09,0.01443,74.2},{1998.09,0.01508,73.3},{1998.09,0.01575,72.6},{1998.09,0.01643,72.3},{1998.09,0.01712,71.8},{1998.09,0.01784,70.8},{1998.09,0.01856,70.3},{1998.09,0.0221,66.2},{1998.09,0.0232,65.1},{1998.09,0.0242,65.6},{1998.09,0.0252,63.7},{1998.09,0.0263,62.8},{1998.09,0.0273,61.5},{1998.09,0.0283,60.9},{1998.09,0.0294,60.3},{1998.09,0.0304,59.8},{1998.09,0.0314,59.8},{1998.09,0.0325,58.1},{1998.09,0.0335,57.2},{1998.09,0.0345,56.3},{1998.09,0.0356,55.7},{1998.09,0.0366,55.1},{1998.09,0.0376,54.9},{1998.09,0.0386,53.4},{1998.09,0.0397,52.6},{1998.09,0.0407,51.9},{1998.09,0.0417,50.4},{1998.09,0.0428,49.5},{1998.09,0.0438,49.5},{1998.09,0.0448,49.6},{1998.09,0.0459,47.9},{1998.09,0.0469,47.3},{1998.09,0.0479,47.1},{1998.09,0.049,46.8},{1998.09,0.05,45.9},{1998.09,0.051,45.7},{1998.09,0.0521,45.3},{1998.09,0.05375,43.},{1998.09,0.05625,41.3},{1998.09,0.05875,40.8},{1998.09,0.06125,38.7},{1998.09,0.06375,38.},{1998.09,0.06625,36.1},{1998.09,0.06875,35.3},{1998.09,0.07125,35.8},{1998.09,0.07375,33.},{1998.09,0.07625,32.6},{1998.09,0.07875,30.2},{1998.09,0.08125,29.5},{1998.09,0.08375,28.6},{1998.09,0.08625,28.3},{1998.09,0.08875,29.1},{1998.09,0.09125,26.3},{1998.09,0.09375,27.3},{1998.09,0.09625,25.7},{1998.09,0.09875,24.5},{1998.09,0.10125,25.3},{1998.09,0.10375,24.6},{1998.09,0.10625,23.5},{1998.09,0.10875,23.6},{1998.09,0.11125,22.},{1998.09,0.11375,22.2},{1998.09,0.11625,21.1},{1998.09,0.11875,20.1},{1998.09,0.12125,19.4},{1998.09,0.12375,18.4},{1998.09,0.12625,18.2},{1998.09,0.12875,16.8},{1998.09,0.13125,17.1},{1998.09,0.13375,17.},{1998.09,0.13625,16.2},{1998.09,0.13875,15.7},{1998.09,0.14125,15.6},{1998.09,0.14375,14.5},{1998.09,0.14625,14.7},{1998.09,0.14875,13.7},{1998.09,0.15125,13.7},{1998.09,0.15375,13.},{1998.09,0.15625,12.},{1998.09,0.15875,12.2},{1998.09,0.16125,12.1},{1998.09,0.16375,12.1},{1998.09,0.16625,12.1},{1998.09,0.16875,11.7},{1998.09,0.17125,11.4},{1998.09,0.17375,10.9},{1998.09,0.17625,10.8},{1998.09,0.17875,10.1},{1998.09,0.18125,10.2},{1998.09,0.18375,9.27},{1998.09,0.18625,9.02},{1998.09,0.18875,8.86},{1998.09,0.19125,8.53},{1998.09,0.19375,8.77},{1998.09,0.19625,8.53},{1998.09,0.19875,8.12},{1998.09,0.20125,8.28},{1998.09,0.20375,7.95},{1998.09,0.20625,7.82},{1998.09,0.20875,7.37},{1998.09,0.21125,7.},{1998.09,0.21375,7.27},{1998.09,0.21625,7.},{1998.09,0.21875,6.67},{1998.09,0.22125,6.33},{1998.09,0.22375,6.42},{1998.09,0.22625,6.11},{1998.09,0.22875,6.29},{1998.09,0.23125,5.52},{1998.09,0.23375,5.82},{1998.09,0.23625,5.27},{1998.09,0.23875,5.35},{1998.09,0.24125,5.16},{1998.09,0.24375,4.84},{1998.09,0.24625,4.78},{1998.09,0.24875,4.68},{1998.09,0.25125,4.35},{1998.09,0.25375,4.71},{1998.09,0.25625,4.29},{1998.09,0.25875,4.27},{1998.09,0.26125,4.18},{1998.09,0.26375,4.13},{1998.09,0.26625,3.73},{1998.09,0.26875,3.71},{1998.09,0.27125,3.77},{1998.09,0.27375,3.72},{1998.09,0.27625,3.7},{1998.09,0.27875,3.53},{1998.09,0.28125,3.15},{1998.09,0.28375,3.13},{1998.09,0.28625,3.12},{1998.09,0.28875,2.83},{1998.09,0.62,0.0779},{1998.09,0.66,0.0521},{1998.09,0.7,0.0361},{1998.09,0.74,0.0217},{1998.09,0.78,0.0146},{1998.09,0.82,0.01},{1998.09,0.86,0.0069},{1998.09,0.9,0.0047},{1998.09,0.94,0.00313},{1998.09,0.98,0.00215},{1998.09,1.02,0.00136},{3906.25,0.01074,83.3},{3906.25,0.01205,81.4},{3906.25,0.01343,80.1},{3906.25,0.0149,78.5},{3906.25,0.01643,77.},{3906.25,0.01804,75.3},{3906.25,0.01973,72.6},{3906.25,0.0215,71.3},{3906.25,0.02334,69.9},{3906.25,0.0215,71.3},{3906.25,0.02525,68.9},{3906.25,0.02724,67.},{3906.25,0.02931,65.},{3906.25,0.03145,62.3},{3906.25,0.03367,60.9},{3906.25,0.03596,59.8},{3906.25,0.037,59.2},{3906.25,0.039,57.3},{3906.25,0.041,56.},{3906.25,0.043,53.7},{3906.25,0.045,53.2},{3906.25,0.047,51.3},{3906.25,0.049,50.1},{3906.25,0.051,48.4},{3906.25,0.053,47.7},{3906.25,0.055,46.7},{3906.25,0.057,45.5},{3906.25,0.059,45.},{3906.25,0.061,43.6},{3906.25,0.063,41.9},{3906.25,0.065,41.3},{3906.25,0.067,40.6},{3906.25,0.069,39.5},{3906.25,0.071,38.5},{3906.25,0.073,37.7},{3906.25,0.075,36.7},{3906.25,0.077,35.1},{3906.25,0.079,34.},{3906.25,0.081,33.2},{3906.25,0.083,32.2},{3906.25,0.085,31.8},{3906.25,0.087,30.5},{3906.25,0.089,30.3},{3906.25,0.091,29.4},{3906.25,0.093,28.6},{3906.25,0.095,28.3},{3906.25,0.097,27.6},{3906.25,0.099,27.},{3906.25,0.27,4.17},{3906.25,0.29,3.05},{3906.25,0.31,2.45},{3906.25,0.33,2.05},{3906.25,0.35,1.73},{3906.25,0.37,1.47},{3906.25,0.39,1.2},{3906.25,0.41,1.01},{3906.25,0.43,0.83},{3906.25,0.45,0.632},{3906.25,0.47,0.533},{3906.25,0.49,0.418},{3906.25,0.525,0.272},{3906.25,0.575,0.163},{3906.25,0.625,0.0861},{3906.25,0.675,0.0504},{3906.25,0.725,0.0232},{3906.25,0.775,0.0149},{3906.25,0.825,0.0102},{3906.25,0.875,0.00567},{3906.25,0.925,0.00305},{3906.25,0.975,0.00154},{3906.25,1.025,0.000717}};
Terror={1.27,1.2,1.17,1.14,1.12,1.06,1.04,1.06,1.01,0.98,0.966,0.962,0.945,0.907,0.882,0.84,0.851,0.82,0.819,0.804,0.752,0.773,0.761,0.752,0.691,0.696,0.666,0.676,0.645,0.619,0.634,0.648,0.599,0.609,0.561,0.594,0.54,0.533,0.531,0.503,0.525,0.504,0.492,0.483,0.458,0.476,0.459,0.434,0.423,0.414,0.143,0.112,0.0918,0.0816,0.0612,0.051,0.0408,0.0357,0.0296,0.0245,0.0194,0.0163,0.0133,0.0112,0.00918,0.00714,0.00612,0.0052,0.00439,0.00367,0.00337,0.00306,0.00286,0.00255,0.00235,0.00204,0.00194,0.00173,0.00108,0.000638,0.000392,0.00024,0.000153,0.394,0.391,0.386,0.46,0.46,0.454,0.45,0.371,0.367,0.436,0.434,0.431,0.496,0.773,0.463,0.521,0.525,0.51,0.502,0.492,0.426,0.422,0.419,0.419,0.407,0.4,0.394,0.39,0.386,0.384,0.374,0.421,0.415,0.403,0.396,0.396,0.397,0.383,0.378,0.377,0.374,0.413,0.411,0.408,0.602,0.578,0.571,0.581,0.57,0.541,0.53,0.537,0.528,0.522,0.483,0.502,0.486,0.481,0.495,0.473,0.464,0.463,0.441,0.455,0.443,0.446,0.448,0.418,0.422,0.422,0.402,0.407,0.386,0.382,0.37,0.376,0.374,0.373,0.361,0.359,0.348,0.353,0.329,0.329,0.325,0.312,0.317,0.315,0.315,0.315,0.304,0.308,0.294,0.302,0.293,0.286,0.278,0.271,0.266,0.264,0.272,0.264,0.26,0.257,0.254,0.25,0.243,0.238,0.247,0.238,0.233,0.228,0.231,0.226,0.226,0.21,0.215,0.211,0.209,0.206,0.198,0.196,0.197,0.187,0.198,0.189,0.188,0.184,0.182,0.175,0.174,0.177,0.175,0.174,0.169,0.161,0.16,0.159,0.153,0.00273,0.00208,0.00143,0.00065,0.000455,0.000299,0.000208,0.000143,0.0000936,0.000065,0.0000416,0.333,0.326,0.32,0.314,0.308,0.678,1.52,1.5,1.47,1.5,0.758,0.737,0.715,0.685,0.67,0.718,0.414,0.401,0.392,0.269,0.319,0.308,0.301,0.29,0.286,0.28,0.273,0.315,0.305,0.293,0.289,0.284,0.276,0.308,0.302,0.294,0.281,0.306,0.299,0.29,0.286,0.305,0.303,0.294,0.286,0.283,0.304,0.297,0.66,0.47,0.37,0.3,0.25,0.21,0.17,0.14,0.12,0.087,0.073,0.056,0.036,0.022,0.012,0.0072,0.0035,0.0025,0.00163,0.00085,0.000518,0.000262,0.000108};
Sdata={{11.7149,0,41.171},{12.2675,0,41.6},{12.2787,0,40.878},{12.8307,0,40.848},{12.8422,0,41.6},{13.0921,0,38.3},{13.1566,0,40.6},{15.0141,0,40.6},{16.4106,0,41.6},{16.5682,0,40.075},{16.5967,0,40.},{16.8757,0,40.},{17.0627,0,40.1},{20.4223,0,39.4},{20.6089,0,39.9},{20.6089,0,40.2},{20.6089,0,39.6},{20.627,0,41.1},{20.8137,0,40.},{24.3483,0,39.6},{24.3483,0,39.4},{25.0961,0,39.},{28.0911,0,39.1},{29.9636,0,39.29},{31.462,0,38.7},{31.8367,0,38.7},{35.0215,0,39.7},{35.5848,0,38.7},{38.0775,0,38.9},{38.2085,0,39.7},{38.9576,0,38.6},{39.333,0,38.4},{39.333,0,38.85},{39.333,0,39.06},{41.9567,0,39.4},{43.0822,0,38.3},{44.957,0,39.39},{45.8939,0,39.7},{46.8321,0,38.9},{47.2065,0,38.7},{47.7702,0,39.3},{48.7078,0,38.8},{51.3702,0,38.8},{55.0831,0,39.9},{58.0842,0,38.55},{58.0842,0,38.59},{62.0235,0,38.4},{67.4632,0,38.46},{67.4632,0,38.49},{76.8428,0,38.85},{76.8428,0,38.5},{81.5337,0,38.42},{86.2242,0,38.45},{95.6034,0,38.2},{95.6034,0,38.14},{95.6034,0,38.42},{95.6034,0,37.74},{95.6034,0,38.46},{99.7322,0,37.87},{104.981,0,38.43},{114.362,0,38.44},{123.743,0,38.65},{131.263,0,36.68},{133.125,0,38.28},{138.745,0,37.6},{185.668,0,37.6},{189.42,0,38.7},{189.42,0,38.46},{189.42,0,38.39},{193.182,0,38.9},{226.954,0,38.58},{230.706,0,37.},{277.622,0,37.6},{277.622,0,38.47},{283.249,0,38.69},{283.249,0,38.62},{320.768,0,38.83},{324.54,0,37.4},{330.149,0,39.6},{369.562,0,38.5},{377.059,0,38.98},{377.059,0,38.9},{386.437,0,39.},{452.115,0,39.24},{527.208,0,39.42},{552.25,0,39.65},{552.25,0,39.4},{552.25,0,39.13},{552.25,0,38.8},{552.25,0,38.9},{556.96,0,38.7},{564.728,0,39.21},{564.728,0,40.68},{570.35,0,39.},{583.512,0,39.59},{639.786,0,39.69},{696.063,0,39.77},{761.76,0,40.6},{936.36,0,40.22},{936.36,0,40.11},{936.36,0,39.91},{936.36,0,40.07},{936.36,0,40.2},{936.36,0,40.1},{942.49,0,40.1},{948.64,0,40.},{1239.04,0,40.42},{1998.,0,41.7},{1998.09,0,41.9},{2016.01,0,41.89},{2043.04,0,42.5},{2787.84,0,43.01},{2787.84,0,42.38},{2787.84,0,42.1},{2787.84,0,42.85},{2787.84,0,42.71},{2798.41,0,42.4},{2830.24,0,42.9},{3881.29,0,43.55},{3893.88,0,43.1},{3906.25,0,44.},{3931.29,0,43.82},{3931.29,0,42.96},{3943.84,0,44.1},{3969.,0,42.2}};
Serror={0.12759,1.4,0.12931,0.12922,0.6,4.2,0.72446,0.3,1.1,0.13099,0.6,0.72111,0.2,1.5,0.72056,0.3,0.3,1.7,0.3,0.1,0.7178,1.5,0.71616,0.19774,1.5,0.71398,1.5,0.71398,0.3,1.5,0.6,0.71236,0.18996,0.197,1.5,0.71182,0.44858,1.5,0.1,1.5,0.8,0.19618,0.3,1.5,0.18941,0.19552,0.6,0.16176,0.1952,0.18996,0.19523,0.09,0.19508,0.16077,0.20314,0.18917,1.18,0.19511,0.12,0.19501,0.19504,0.21411,0.53,0.15826,1.1159,1.1159,1.743,0.15896,0.20111,0.8,0.15942,1.1154,1.1159,0.58,0.15985,0.20221,0.16039,1.1158,1.6191,1.2153,0.16097,0.20354,1.,0.16198,0.16267,0.23386,0.3,0.39689,0.25,0.7,0.7,0.92,0.55,1.,0.16935,0.17351,0.17002,1.2,0.21327,0.18798,0.40773,0.24,0.8,0.4,0.2,0.6,0.6199,0.4,0.24,0.40691,0.8,0.26381,0.17229,0.2,0.41833,0.35,0.4,0.7,0.322,0.4,0.44643,0.31766,0.38,0.9,3.5};
Rdata={{7.65906,0,-0.426},{9.83638,0,-0.39},{11.0277,0,-0.38},{11.3071,0,-0.389},{14.7809,0,-0.3},{15.0141,0,-0.339},{16.5218,0,-0.331},{16.5967,0,-0.29},{18.5339,0,-0.33},{19.5435,0,-0.351},{20.3473,0,-0.343},{20.3473,0,-0.345},{20.6089,0,-0.33},{20.6089,0,-0.31},{20.8137,0,-0.43},{22.2869,0,-0.26},{24.2359,0,-0.29},{28.1473,0,-0.272},{37.8889,0,-0.245},{38.0775,0,-0.33},{39.782,0,-0.205},{46.8321,0,-0.19},{47.0569,0,-0.157},{50.807,0,-0.154},{51.3702,0,-0.32},{53.3952,0,-0.23},{58.0842,0,-0.183},{75.7544,0,-0.176},{81.5337,0,-0.194},{95.6034,0,-0.068},{98.0001,0,-0.157},{99.3411,0,-0.153},{99.7322,0,-0.176},{105.699,0,-0.154},{113.231,0,-0.122},{132.826,0,-0.106},{133.125,0,-0.104},{133.125,0,-0.115},{151.881,0,-0.096},{159.391,0,-0.1216},{159.391,0,-0.1194},{178.009,0,-0.098},{189.42,0,-0.092},{189.42,0,-0.074},{193.182,0,-0.1029},{195.049,0,-0.0987},{195.049,0,-0.1024},{236.329,0,-0.024},{273.01,0,-0.064},{283.249,0,-0.04},{283.249,0,0.008},{307.652,0,-0.048},{328.987,0,-0.039},{330.149,0,-0.011},{349.017,0,-0.038},{375.197,0,-0.034},{377.059,0,0.019},{393.943,0,-0.0247},{405.016,0,-0.02},{433.389,0,-0.0176},{458.988,0,-0.013},{470.89,0,-0.041},{491.553,0,-0.009},{505.98,0,0.022},{529.092,0,0.0118},{538.472,0,0.0099},{552.25,0,0.02},{552.25,0,0.022},{564.728,0,-0.028},{570.35,0,-0.011},{590.49,0,0.009},{655.975,0,0.025},{739.024,0,0.039},{748.624,0,0.012},{936.36,0,0.03},{936.36,0,0.034},{936.36,0,0.042},{1998.09,0,0.062},{2787.84,0,0.077},{2798.41,0,0.078},{3893.76,0,0.095}};
Rerror={0.047432,0.031667,0.1,0.031544,0.07,0.037348,0.024299,0.024947,0.08,0.05561,0.021835,0.026915,0.035,0.041212,0.042459,0.05,0.023862,0.023961,0.038863,0.032561,0.023929,0.09,0.027213,0.032028,0.031575,0.13,0.051,0.035735,0.021984,0.04,0.019266,0.015016,0.018653,0.036019,0.034458,0.034052,0.065,0.015291,0.01347,0.028411,0.028712,0.018976,0.014,0.017476,0.02787,0.028686,0.027689,0.013943,0.017795,0.014,0.011662,0.028612,0.019069,0.0184,0.020387,0.012615,0.016606,0.028244,0.019209,0.028228,0.017986,0.014,0.012728,0.021185,0.02817,0.028187,0.05,0.014142,0.016,0.012057,0.011677,0.021213,0.019069,0.012728,0.06,0.0080605,0.018698,0.018504,0.00922,0.017878,0.018763};
Tdatag1={{0.042,48.7},{0.046,44.5},{0.05,43.2},{0.054,39.2},{0.058,37.3},{0.062,35.3},{0.066,33.7},{0.07,34.3},{0.074,30.6},{0.078,29.7},{0.082,28.4},{0.086,27.5},{0.09,27.},{0.094,25.2},{0.098,23.2},{0.102,22.1},{0.106,22.4},{0.11,20.5},{0.114,21.},{0.118,20.1},{0.122,17.5},{0.126,18.4},{0.13,17.7},{0.134,17.1},{0.138,14.7},{0.142,14.8},{0.146,13.6},{0.15,13.8},{0.154,12.9},{0.158,11.9},{0.162,12.2},{0.166,12.7},{0.17,10.9},{0.174,11.5},{0.178,9.84},{0.182,10.6},{0.186,8.86},{0.19,8.6},{0.194,8.57},{0.198,7.62},{0.202,8.34},{0.206,7.88},{0.21,7.46},{0.214,7.1},{0.218,6.54},{0.222,7.},{0.226,6.38},{0.23,5.79},{0.234,5.49},{0.238,5.17},{0.25,4.61},{0.27,3.9},{0.29,3.21},{0.31,2.6},{0.33,2.16},{0.35,1.77},{0.37,1.46},{0.39,1.21},{0.41,0.982},{0.43,0.821},{0.45,0.656},{0.47,0.555},{0.49,0.453},{0.51,0.377},{0.53,0.307},{0.55,0.242},{0.57,0.2},{0.59,0.172},{0.61,0.145},{0.63,0.123},{0.65,0.106},{0.67,0.0843},{0.69,0.075},{0.71,0.0602},{0.73,0.0498},{0.75,0.0377},{0.77,0.0328},{0.79,0.0285},{0.825,0.018},{0.875,0.0106},{0.925,0.00654},{0.975,0.004},{1.025,0.00254}};
Tdatag2={{0.01026,78.7},{0.01082,78.2},{0.01138,77.1},{0.01196,76.6},{0.01256,76.7},{0.01317,75.7},{0.01379,75.},{0.01443,74.2},{0.01508,73.3},{0.01575,72.6},{0.01643,72.3},{0.01712,71.8},{0.01784,70.8},{0.01856,70.3},{0.0221,66.2},{0.0232,65.1},{0.0242,65.6},{0.0252,63.7},{0.0263,62.8},{0.0273,61.5},{0.0283,60.9},{0.0294,60.3},{0.0304,59.8},{0.0314,59.8},{0.0325,58.1},{0.0335,57.2},{0.0345,56.3},{0.0356,55.7},{0.0366,55.1},{0.0376,54.9},{0.0386,53.4},{0.0397,52.6},{0.0407,51.9},{0.0417,50.4},{0.0428,49.5},{0.0438,49.5},{0.0448,49.6},{0.0459,47.9},{0.0469,47.3},{0.0479,47.1},{0.049,46.8},{0.05,45.9},{0.051,45.7},{0.0521,45.3},{0.05375,43.},{0.05625,41.3},{0.05875,40.8},{0.06125,38.7},{0.06375,38.},{0.06625,36.1},{0.06875,35.3},{0.07125,35.8},{0.07375,33.},{0.07625,32.6},{0.07875,30.2},{0.08125,29.5},{0.08375,28.6},{0.08625,28.3},{0.08875,29.1},{0.09125,26.3},{0.09375,27.3},{0.09625,25.7},{0.09875,24.5},{0.10125,25.3},{0.10375,24.6},{0.10625,23.5},{0.10875,23.6},{0.11125,22.},{0.11375,22.2},{0.11625,21.1},{0.11875,20.1},{0.12125,19.4},{0.12375,18.4},{0.12625,18.2},{0.12875,16.8},{0.13125,17.1},{0.13375,17.},{0.13625,16.2},{0.13875,15.7},{0.14125,15.6},{0.14375,14.5},{0.14625,14.7},{0.14875,13.7},{0.15125,13.7},{0.15375,13.},{0.15625,12.},{0.15875,12.2},{0.16125,12.1},{0.16375,12.1},{0.16625,12.1},{0.16875,11.7},{0.17125,11.4},{0.17375,10.9},{0.17625,10.8},{0.17875,10.1},{0.18125,10.2},{0.18375,9.27},{0.18625,9.02},{0.18875,8.86},{0.19125,8.53},{0.19375,8.77},{0.19625,8.53},{0.19875,8.12},{0.20125,8.28},{0.20375,7.95},{0.20625,7.82},{0.20875,7.37},{0.21125,7.},{0.21375,7.27},{0.21625,7.},{0.21875,6.67},{0.22125,6.33},{0.22375,6.42},{0.22625,6.11},{0.22875,6.29},{0.23125,5.52},{0.23375,5.82},{0.23625,5.27},{0.23875,5.35},{0.24125,5.16},{0.24375,4.84},{0.24625,4.78},{0.24875,4.68},{0.25125,4.35},{0.25375,4.71},{0.25625,4.29},{0.25875,4.27},{0.26125,4.18},{0.26375,4.13},{0.26625,3.73},{0.26875,3.71},{0.27125,3.77},{0.27375,3.72},{0.27625,3.7},{0.27875,3.53},{0.28125,3.15},{0.28375,3.13},{0.28625,3.12},{0.28875,2.83},{0.62,0.0779},{0.66,0.0521},{0.7,0.0361},{0.74,0.0217},{0.78,0.0146},{0.82,0.01},{0.86,0.0069},{0.9,0.0047},{0.94,0.00313},{0.98,0.00215},{1.02,0.00136}};
Tdatag3={{0.01074,83.3},{0.01205,81.4},{0.01343,80.1},{0.0149,78.5},{0.01643,77.},{0.01804,75.3},{0.01973,72.6},{0.0215,71.3},{0.02334,69.9},{0.0215,71.3},{0.02525,68.9},{0.02724,67.},{0.02931,65.},{0.03145,62.3},{0.03367,60.9},{0.03596,59.8},{0.037,59.2},{0.039,57.3},{0.041,56.},{0.043,53.7},{0.045,53.2},{0.047,51.3},{0.049,50.1},{0.051,48.4},{0.053,47.7},{0.055,46.7},{0.057,45.5},{0.059,45.},{0.061,43.6},{0.063,41.9},{0.065,41.3},{0.067,40.6},{0.069,39.5},{0.071,38.5},{0.073,37.7},{0.075,36.7},{0.077,35.1},{0.079,34.},{0.081,33.2},{0.083,32.2},{0.085,31.8},{0.087,30.5},{0.089,30.3},{0.091,29.4},{0.093,28.6},{0.095,28.3},{0.097,27.6},{0.099,27.},{0.27,4.17},{0.29,3.05},{0.31,2.45},{0.33,2.05},{0.35,1.73},{0.37,1.47},{0.39,1.2},{0.41,1.01},{0.43,0.83},{0.45,0.632},{0.47,0.533},{0.49,0.418},{0.525,0.272},{0.575,0.163},{0.625,0.0861},{0.675,0.0504},{0.725,0.0232},{0.775,0.0149},{0.825,0.0102},{0.875,0.00567},{0.925,0.00305},{0.975,0.00154},{1.025,0.000717}};
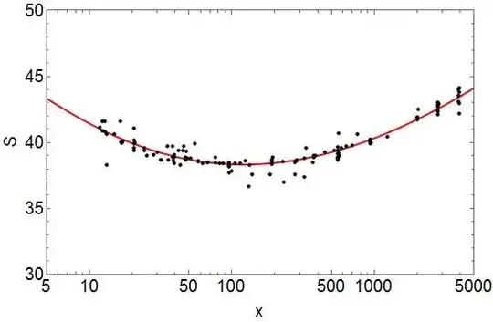
Sdatag={{11.7149,41.171},{12.2675,41.6},{12.2787,40.878},{12.8307,40.848},{12.8422,41.6},{13.0921,38.3},{13.1566,40.6},{15.0141,40.6},{16.4106,41.6},{16.5682,40.075},{16.5967,40.},{16.8757,40.},{17.0627,40.1},{20.4223,39.4},{20.6089,39.9},{20.6089,40.2},{20.6089,39.6},{20.627,41.1},{20.8137,40.},{24.3483,39.6},{24.3483,39.4},{25.0961,39.},{28.0911,39.1},{29.9636,39.29},{31.462,38.7},{31.8367,38.7},{35.0215,39.7},{35.5848,38.7},{38.0775,38.9},{38.2085,39.7},{38.9576,38.6},{39.333,38.4},{39.333,38.85},{39.333,39.06},{41.9567,39.4},{43.0822,38.3},{44.957,39.39},{45.8939,39.7},{46.8321,38.9},{47.2065,38.7},{47.7702,39.3},{48.7078,38.8},{51.3702,38.8},{55.0831,39.9},{58.0842,38.55},{58.0842,38.59},{62.0235,38.4},{67.4632,38.46},{67.4632,38.49},{76.8428,38.85},{76.8428,38.5},{81.5337,38.42},{86.2242,38.45},{95.6034,38.2},{95.6034,38.14},{95.6034,38.42},{95.6034,37.74},{95.6034,38.46},{99.7322,37.87},{104.981,38.43},{114.362,38.44},{123.743,38.65},{131.263,36.68},{133.125,38.28},{138.745,37.6},{185.668,37.6},{189.42,38.7},{189.42,38.46},{189.42,38.39},{193.182,38.9},{226.954,38.58},{230.706,37.},{277.622,37.6},{277.622,38.47},{283.249,38.69},{283.249,38.62},{320.768,38.83},{324.54,37.4},{330.149,39.6},{369.562,38.5},{377.059,38.98},{377.059,38.9},{386.437,39.},{452.115,39.24},{527.208,39.42},{552.25,39.65},{552.25,39.4},{552.25,39.13},{552.25,38.8},{552.25,38.9},{556.96,38.7},{564.728,39.21},{564.728,40.68},{570.35,39.},{583.512,39.59},{639.786,39.69},{696.063,39.77},{761.76,40.6},{936.36,40.22},{936.36,40.11},{936.36,39.91},{936.36,40.07},{936.36,40.2},{936.36,40.1},{942.49,40.1},{948.64,40.},{1239.04,40.42},{1998.,41.7},{1998.09,41.9},{2016.01,41.89},{2043.04,42.5},{2787.84,43.01},{2787.84,42.38},{2787.84,42.1},{2787.84,42.85},{2787.84,42.71},{2798.41,42.4},{2830.24,42.9},{3881.29,43.55},{3893.88,43.1},{3906.25,44.},{3931.29,43.82},{3931.29,42.96},{3943.84,44.1},{3969.,42.2}};
Rdatag={{7.65906,-0.426},{9.83638,-0.39},{11.0277,-0.38},{11.3071,-0.389},{14.7809,-0.3},{15.0141,-0.339},{16.5218,-0.331},{16.5967,-0.29},{18.5339,-0.33},{19.5435,-0.351},{20.3473,-0.343},{20.3473,-0.345},{20.6089,-0.33},{20.6089,-0.31},{20.8137,-0.43},{22.2869,-0.26},{24.2359,-0.29},{28.1473,-0.272},{37.8889,-0.245},{38.0775,-0.33},{39.782,-0.205},{46.8321,-0.19},{47.0569,-0.157},{50.807,-0.154},{51.3702,-0.32},{53.3952,-0.23},{58.0842,-0.183},{75.7544,-0.176},{81.5337,-0.194},{95.6034,-0.068},{98.0001,-0.157},{99.3411,-0.153},{99.7322,-0.176},{105.699,-0.154},{113.231,-0.122},{132.826,-0.106},{133.125,-0.104},{133.125,-0.115},{151.881,-0.096},{159.391,-0.1216},{159.391,-0.1194},{178.009,-0.098},{189.42,-0.092},{189.42,-0.074},{193.182,-0.1029},{195.049,-0.0987},{195.049,-0.1024},{236.329,-0.024},{273.01,-0.064},{283.249,-0.04},{283.249,0.008},{307.652,-0.048},{328.987,-0.039},{330.149,-0.011},{349.017,-0.038},{375.197,-0.034},{377.059,0.019},{393.943,-0.0247},{405.016,-0.02},{433.389,-0.0176},{458.988,-0.013},{470.89,-0.041},{491.553,-0.009},{505.98,0.022},{529.092,0.0118},{538.472,0.0099},{552.25,0.02},{552.25,0.022},{564.728,-0.028},{570.35,-0.011},{590.49,0.009},{655.975,0.025},{739.024,0.039},{748.624,0.012},{936.36,0.03},{936.36,0.034},{936.36,0.042},{1998.09,0.062},{2787.84,0.077},{2798.41,0.078},{3893.76,0.095}};
Tmodel=1/x^2 1.22208 ((a3 E^(b3 y) x^(0.435-0.93 y) Sin[1/2 \[Pi] (0.435-0.93 y)]-a2 E^(b2 y) x^(0.703-0.84 y) Sin[1/2 \[Pi] (0.703-0.84 y)]+(a1 E^((\[Alpha]-y \[Beta]) (b1+Log[x])) x (Cos[1/2 \[Pi] (\[Alpha]-y \[Beta])] (b1+Log[x])-1/2 \[Pi] Sin[1/2 \[Pi] (\[Alpha]-y \[Beta])]))/b1)^2+(-a3 E^(b3 y) x^(0.435-0.93 y) Cos[1/2 \[Pi] (0.435-0.93 y)]+a2 E^(b2 y) x^(0.703-0.84 y) Cos[1/2 \[Pi] (0.703-0.84 y)]+(a1 E^((\[Alpha]-y \[Beta]) (b1+Log[x])) x (1/2 \[Pi] Cos[1/2 \[Pi] (\[Alpha]-y \[Beta])]+(b1+Log[x]) Sin[1/2 \[Pi] (\[Alpha]-y \[Beta])]))/b1)^2);
Smodel=(4.88832 (0.631353 a3 x^0.435-0.893136 a2 x^0.703+(a1 E^(\[Alpha] (b1+Log[x])) x (Cos[(\[Pi] \[Alpha])/2] (b1+Log[x])-1/2 \[Pi] Sin[(\[Pi] \[Alpha])/2]))/b1))/x;
Rmodel=(-0.775496 a3 x^0.435+0.449787 a2 x^0.703+(a1 E^(\[Alpha] (b1+Log[x])) x (1/2 \[Pi] Cos[(\[Pi] \[Alpha])/2]+(b1+Log[x]) Sin[(\[Pi] \[Alpha])/2]))/b1)/(0.631353 a3 x^0.435-0.893136 a2 x^0.703+(a1 E^(\[Alpha] (b1+Log[x])) x (Cos[(\[Pi] \[Alpha])/2] (b1+Log[x])-1/2 \[Pi] Sin[(\[Pi] \[Alpha])/2]))/b1);
Tfit=NonlinearModelFit[Tdata,Tmodel,{{a1,2},{b1,4},{\[Alpha],0.01},{\[Beta]},{a2},b2,{a3},b3},{x,y},Weights->1/Terror^2,VarianceEstimatorFunction->(1&)];
Sfit=NonlinearModelFit[Sdata,Smodel,{{a1,2},{b1,4},{\[Alpha],0.01},{\[Beta]},{a2},b2,{a3},b3},{x,y},Weights->1/Serror^2,VarianceEstimatorFunction->(1&)];
Rfit=NonlinearModelFit[Rdata,Rmodel,{{a1,2},{b1,4},{\[Alpha],0.01},{\[Beta]},{a2},b2,{a3},b3},{x,y},Weights->1/Rerror^2,VarianceEstimatorFunction->(1&)];
T1=Tfit["BestFit"]/.x->552.25;
T2=Tfit["BestFit"]/.x->1998.09;
T3=Tfit["BestFit"]/.x->3906.25;
S=Sfit["BestFit"];
R=Rfit["BestFit"];
Tfit["ParameterTable"]
Sfit["ParameterTable"]
Rfit["ParameterTable"]
Show[LogPlot[1000000*T1,{y,0.01,1.1},ImageSize->Large,PlotRange->{{0,1.2},{10^9,10^-2}},PlotStyle->{Red,Thick}],LogPlot[10000*T2,{y,0.01,1.1},PlotRange->{{0,1.2},{10^9,10^-6}},PlotRange->{{0,1.2},{10^9,10^-3}},PlotStyle->{Red,Thick}],LogPlot[100*T3,{y,0.01,1.1},PlotRange->{{0,1.2},{10^9,10^-6}},PlotRange->{{0,1.2},{10^9,10^-3}},PlotStyle->{Red,Thick}],Epilog->{{Point[Tdatag1/.{t_,y_}->{t,Log[1000000*y]}],Point[Tdatag2/.{t_,y_}->{t,Log[10000*y]}],Point[Tdatag3/.{t_,y_}->{t,Log[100*y]}]}},Axes->False,Frame->True,LabelStyle->{FontFamily->"Arial",FontSize->20,FontColor->Black,FontWeight->Plain},FrameLabel->{"y","T"}]
Show[LogLinearPlot[S,{x,2.5,5000},ImageSize->Large,PlotRange->{{5,5000},{30,50}},PlotStyle->{Red,Thick}],ListLogLinearPlot[Sdatag,ImageSize->Large,PlotRange->{{5,5000},{30,50}},PlotStyle->Black],Axes->False,Frame->True,LabelStyle->{FontFamily->"Arial",FontSize->20,FontColor->Black,FontWeight->Plain},FrameLabel->{"x","S"}]
Show[LogLinearPlot[R,{x,1.5,5000},ImageSize->Large,PlotRange->{{1.1,5000},{-0.5,0.5}},PlotStyle->{Blue,Thick}],ListLogLinearPlot[Rdatag,ImageSize->Large,PlotRange->{{1.1,100},{-0.5,0.5}},PlotStyle->Black],Axes->False,Frame->True,LabelStyle->{FontFamily->"Arial",FontSize->20,FontColor->Black,FontWeight->Plain},FrameLabel->{"x","R"}]
I have three data set (Tdata, Sdata, Rdata) and their measurement errors (Terror, Serror, Rerror). I also have three models (Tmodel, Smodel, Rmodel). These models contain the same parameters. My task is to obtain a simultaneous fit to the three data set using also the measurement errors. Until now I was able to fit the data separately:
I have no idea how can I solve the simultaneous fit for the three data set and get same parameter values in each model using also the measurement errors. The solution would be proper even if the the results of the simultaneous fit not as good as those of the separate fits.









