How to do this in Mathematica: $$\int_1^2 x^2 \, dx=\left[\frac{x^3}{3}\right]_1^2$$ or $$\int_1^2 x^2 \, dx=\left.\frac{x^3}{3}\right|_1^2$$ Also is there a function that represents the right hand side?
4 Answers
I would do it the easy way, I would use MaTeX. :)
Here is an automated function. Here is an improved version which uses aligned which makes the output more clear, Kept old version at bottom
ClearAll[x]
Needs["MaTeX`"]
SetOptions[MaTeX,"Preamble"->{"\\usepackage{amssymb,amsmath,latexsym,amsfonts,amsthm}"}];
toX[any_]:=ToString@TeXForm@any
doInt[f_,x_,from_,to_]:=Module[{int,low,up},int=Integrate[f,x];
up=Limit[int,x->to];
low=Limit[int,x->from];
MaTeX["
\\begin{aligned}
\\int_"<>toX[from]<>"^"<>toX[to]<>" "<>toX[f]<>" \\, dx &= "<>toX@int<>"\\bigg|_"<>toX[from]<>"^"<>toX[to]<>"\\\\
&= \\left["<>toX@int<>"\\right]^"<>toX[to]<>" - \\left["<>toX@int<>"\\right]^"<>toX[from]<>"\\\\
&= "<>"\\left("<>toX@up<>"\\right)-\\left("<>toX@low<>"\\right)\\\\
&= "<>toX[Simplify[up-low]]<>"
\\end{aligned}",
Magnification->3]
]
To use
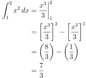
doInt[x^2, x, 1, 2]

Old answer
ClearAll[x]
<< MaTeX`
toX[any_] := ToString@TeXForm@ any
doInt[f_, x_, from_, to_] := Module[{int, low, up},
int = Integrate[f, x];
up = Limit[int, x -> to];
low = Limit[int, x -> from];
MaTeX["\\int_" <> toX[from] <> "^" <> toX[to] <> " " <> toX[f] <>
" \\, dx = "
<> toX@ int <> "\\bigg|_" <> toX[from] <> "^" <> toX[to] <>
" = \\left[" <> toX@ int <> "\\right]^" <> toX[to] <>
" - \\left[" <> toX@ int <> "\\right]^" <> toX[from] <> " = " <>
"\\left(" <> toX@up <> "\\right)-\\left(" <> toX@low <>
"\\right) = " <> toX[Simplify[up - low]], Magnification -> 3]
]
Now just do
doInt[x^2, x, 1, 2]

doInt[Sin[x]*x,x,0,Pi]

doInt[Exp[x]+3 Sin[x],x,0,Pi]

- 124,525
- 11
- 401
- 574
- 143,286
- 11
- 154
- 359
-
I was hoping for Mathematica's own functions. I consider using brackets with limits in evaluating integrals basic math stuff, so it is surprising Mathematica does not have its own implementation. Your function is nice anyway. – azerbajdzan Nov 01 '17 at 20:46
Maybe this helps, but I think it is a bit elaborated:
HoldForm[Integrate[x^2, {x, 1, 2}]] ==
RowBox[{"", Integrate[x^2, x],
SubsuperscriptBox[StyleBox["\[VerticalSeparator]", 30],
AdjustmentBox["1", BoxBaselineShift -> 2],
AdjustmentBox["2", BoxBaselineShift -> -2]]}]
//DisplayForm // TraditionalForm
You could be interested in this solution.
- 6,103
- 1
- 20
- 30
-
-
-
I was hoping for Mathematica's own functions. I consider using brackets with limits in evaluating integrals basic math stuff, so it is surprising Mathematica does not have its own implementation. Your function is nice anyway. – azerbajdzan Nov 01 '17 at 20:47
Here is an implementation of a function EvaluatedAt that attempts to answer your question. The DownValues are easy:
EvaluatedAt[func_, x_, low_, high_] := ReplaceAll[func, x->high] - ReplaceAll[func, x->low]
EvaluatedAt[func_, x_, pt_] := func /. x->pt
The tricky part is how to make use of and format the unevaluated version of EvaluatedAt. I like the Inactive/Activate approach for these kinds of things instead of HoldForm/ReleaseHold. So, I will introduce an Inactive format for EvaluatedAt.
To do this I will make use of my function Initial from my answer to How can one manually change the rule ordering, which I provide below:
Initial /: Verbatim[TagSetDelayed][Initial[sym_], lhs_, rhs_] := With[
{
new = Block[{sym},
TagSetDelayed[sym, lhs, rhs];
First @ Language`ExtendedDefinition[sym]
],
protect = Unprotect[sym]
},
sym;
Quiet @ MakeBoxes[sym[], TraditionalForm];
Unprotect[sym];
Replace[new,
Rule[values_, n:Except[{}]] :> (
values[sym] = DeleteDuplicates@Join[n, values[sym]]
),
{2}
];
Protect@protect;
]
Using Initial, we can create a FormatValues for Inactive[EvaluatedAt][..] (unfortunately, EvaluatedAt is buried too deep to attach the format to it):
Initial[Inactive] /: MakeBoxes[Inactive[EvaluatedAt][f_, x_, low_, high_], form_] :=
TemplateBox[
{MakeBoxes[f, form], MakeBoxes[x, form], MakeBoxes[low, form], MakeBoxes[high, form]},
"InactiveEvaluatedAt",
DisplayFunction -> (
SubsuperscriptBox[
RowBox[{#1, StyleBox["\[RightBracketingBar]", "Inactive", FontFamily->"Times"]}],
#3,
#4
]&
),
InterpretationFunction -> (
RowBox[{
RowBox[{"Inactive", "[", "EvaluatedAt", "]"}],
"[",
RowBox[{#, ",", #2, ",", #3, ",", #4}],
"]"
}]&
)
]
Initial[Inactive] /: MakeBoxes[Inactive[EvaluatedAt][f_, x_, at_], form_] :=
TemplateBox[
{MakeBoxes[f, form], MakeBoxes[x, form], MakeBoxes[at, form]},
"InactiveEvaluatedAt",
DisplayFunction -> (
SubscriptBox[
RowBox[{#1, StyleBox["\[RightBracketingBar]", "Inactive", FontFamily->"Times"]}],
#3
]&
),
InterpretationFunction -> (
RowBox[{
RowBox[{"Inactive", "[", "EvaluatedAt", "]"}],
"[",
RowBox[{#, ",", #2, ",", #3}],
"]"
}]&
)
]
It's a bit complicated because I want the output to be able to be copy/pasted/evaluated. A few comments. I used a SubscriptBox/SubsuperscriptBox around the expression so that the vertical bar can grow as the expression gets taller. I used "\[RightBracketingBar]" instead of "|" for the bar because of spacing. Finally, I used the "Times" font for the bar because I don't want the little bump that the StandardForm font gives the bar. I think the rest of the code is pretty standard for Inactive formatting.
It should be straightforward to modify it to use [..] instead of ..| if you so desire.
Now, for your example:
Inactive[Integrate][x^2, {x, 1, 2}] == Inactive[EvaluatedAt][x^3/3, x, 1, 2]
Inactive[Integrate][x^2, {x, 1, 2}] == Inactive[EvaluatedAt][x^3/3, x, 1, 2] //TraditionalForm
Activate@%
True
One final comment. Mathematica has the character "\[LeftAutoMatch]" which should be equivalent to TeX's "\left.". It didn't seem to be needed, so I didn't use it, but it's possible that it should be added.
- 130,679
- 6
- 243
- 355
Based on Josè's nice answer, I would define my own function:
fun [f_, g_, h_ ] :=
DisplayForm[
RowBox[{"", f,
SubsuperscriptBox[StyleBox["\[VerticalSeparator]", 30],
AdjustmentBox[g, BoxBaselineShift -> 2],
AdjustmentBox[h, BoxBaselineShift -> -2]]}] ]
so you can use it to show the rhs for different operations and different upper and lower limits without changing the definition.
for example try fun[D[x^2, x ], 2, 4]
- 2,639
- 13
- 22
-
I was hoping for Mathematica's own functions. I consider using brackets with limits in evaluating integrals basic math stuff, so it is surprising Mathematica does not have its own implementation. Your function is nice anyway. – azerbajdzan Nov 01 '17 at 20:47


int = Integrate[x^2, x]; (int /. x -> 2) - (int /. x -> 1). – J. M.'s missing motivation Nov 01 '17 at 10:03