I have a numerical solution and I want to find the maximum value of the solution.
a = Rationalize[0.33390683175743086];
b = -0.15;
d = 5;
a1 =
u[y_] :=
(Tanh[a*(y - d)] + Tanh[a*d])/(1 + Tanh[a*d]) +
b*Sqrt[3]*y/d*Exp[-1.5*(y/d)^2 + 0.5];
α = 0.04;
ω = Rationalize[0.0060230765816024628] + Rationalize[0.0097304407482613764]*I;
sol =
NDSolve[
{(u[y] - ω/α)*(ϕ''[y] - α^2*ϕ[y]) - u''[y]*ϕ[y] == 0,
ϕ[80] == 1, ϕ'[80] == -I*α}, ϕ, {y, 0, 80}][[1, 1, 2]]
ϕ[y_] := sol[y]
So ϕ is the solution of my problem. I difined a new function called uu which is the negative of the derivative of ϕ:
uu[y_] := -ϕ'[y];
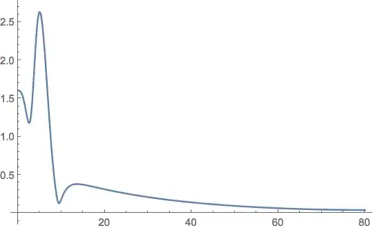
When I plot Abs[uu[y]] I have this:
Now the question is how to determine the maximum value of |uu|?
Looking the figure it seems that the value is around for |uu| = 2.6.



NDSolve? – Mateus Nov 10 '17 at 20:41WorkingPrecisionand reevaluate; you will get an error message: "NMaximize::cvmit: Failed to converge to the requested accuracy or precision within 100 iterations." Such problems are frequently due to loss of precision using machine precision. Arbitrary precision tracks and controls precision during calculations. The trade-off is that arbitrary precision is slower. Consequently, it is often only used if necessary. – Bob Hanlon Nov 10 '17 at 20:53