9

How can I use the new symbolic matrix/tensor capabilities to verify matrix identities, such as

enter image description here (1)

or

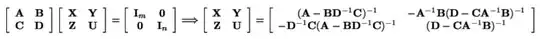
enter image description here (2)

Even better, how can I ask Mathematica to derive expressions for X, Y, Z, and U like the ones shown on the RHS of (2) (many equivalent forms exist) (and as a bonus, display them similarly).

Eric
  • 333
  • 1
  • 10

1 Answers1

5

Formulas involving inverses are special to matrices--neither vectors nor higher-rank tensors have a notion of inverse. As a result, the current framework has only limited support for identities involving inverses. It deals best with identities involving tensor products, symmetries, and contractions, which are fundamental to all tensor operations. We hope to add better support for matrices inversion in a future release.

Itai Seggev
  • 14,113
  • 60
  • 84
  • How about block matrices? Can I define A, B, C, and D to be symbolic n x n, n x m, m x n, and m x m matrices and then have mathematica recognize something like E = SymbolicArrayFlatten[{{A,B},{C,D}}] as an (n+m) x (n+m) matrix? – Eric Dec 09 '12 at 19:29
  • Block matrices are also not supported at this time. As you point out, we will need to add new symbols to support these, because if A,B, C and D are matrices, {{A,B},{C,D}} is a rank-3 array. – Itai Seggev Dec 13 '12 at 22:49
  • I definately would appreciate that support. Big interest :) – Rojo Oct 17 '13 at 18:39