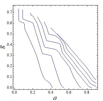
I am facing a problem in getting a smooth plot of following data.
DD := {{{0, 0}, 1}, {{0, 0.1}, 1}, {{0, 0.2}, 1}, {{0, 0.3},
1}, {{0, 0.4}, 1}, {{0, 0.5}, 1}, {{0, 0.6}, 1}, {{0, 0.7},
1}, {{0, 0.736}, 1}, {{0.2, 0.0}, 0.997978}, {{0.2, 0.1},
0.99592}, {{0.2, 0.2}, 0.994118}, {{0.2, 0.3},
0.99321}, {{0.2, 0.4}, 0.990521}, {{0.2, 0.5},
0.990098}, {{0.2, 0.6}, 0.981427}, {{0.2, 0.684},
0.954755}, {{0.3, 0}, 0.99357}, {{0.3, 0.3},
0.985479}, {{0.3, 0.628105}, 0.927041}, {{0.4, 0},
0.991344}, {{0.4, 0.1}, 0.988842}, {{0.4, 0.3},
0.980593}, {{0.4, 0.4}, 0.972082}, {{0.4, 0.5573},
0.900049}, {{0.5, 0.0}, 0.98288}, {{0.5, 0.1},
0.979876}, {{0.5, 0.2}, 0.972208}, {{0.5, 0.3},
0.964005}, {{0.5, 0.4}, 0.943466}, {{0.5, 0.465},
0.914242}, {{0.6, 0}, 0.976438}, {{0.6, 0.1},
0.967633}, {{0.6, 0.2}, 0.960438}, {{0.6, 0.38848},
0.876153}, {{0.7, 0.0}, 0.96334}, {{0.7, 0.1},
0.953086}, {{0.7, 0.2}, 0.935014}, {{0.7, 0.2952},
0.874474}, {{0.8, 0}, 0.952486}, {{0.8, 0.1},
0.933406}, {{0.8, 0.198}, 0.874677}, {{0.9, 0},
0.928887}, {{0.9, 0.09983}, 0.866017}}
f = Interpolation[DD, InterpolationOrder -> 16];
ContourPlot[Quiet[Check[f[a, g], Null]], {a, 0, 0.9}, {g, 0, 0.75},
PlotLegends -> Automatic, MaxRecursion -> 5]
I am getting a rough plot on using Mathematica 9. I am looking to get a smooth plot.
Any suggestions are welcome.





