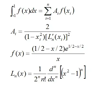
I wanted to use Gauss-Legendre Quadrature to calculate an integral as follows:

When n=10 and some other number(except odd numbers),the numerical result is the same as theoretical result.
Clear["Global`*"];
n = 10;
L[x_] := D[(x^2 - 1)^n, {x, n}]/(n!*2^n);
A[x_] := 2/((1 - x^2) (D[L[x], x])^2);
f[x_] := E^(-x)/x;
sol = NSolve[L[x] == 0., x];
nodes = (x /. sol);
coef = Table[A[x] /. {x -> nodes[[i]]}, {i, 1, Length@nodes}];
Sum[coef[[i]] f[nodes[[i]]], {i, 1, Length@nodes}]
Integrate[E^(-x)/x, {x, -1, 1.}, PrincipalValue -> True]
-2.11450175075
-2.11450175075
But,when n>=50,the code will give wrong numerical result.
Clear["Global`*"];
n = 50;
L[x_] := D[(x^2 - 1)^n, {x, n}]/(n!*2^n);
A[x_] := 2/((1 - x^2) (D[L[x], x])^2);
f[x_] := E^(-x)/x;
sol = NSolve[L[x] == 0., x];
nodes = (x /. sol);
coef = Table[A[x] /. {x -> nodes[[i]]}, {i, 1, Length@nodes}];
Sum[coef[[i]] f[nodes[[i]]], {i, 1, Length@nodes}]
Integrate[E^(-x)/x, {x, -1, 1.}, PrincipalValue -> True]
-43.8873164858
-2.11450175075
That is very puzzling.