I'm trying to get a constant/uniform size on the arrow heads for the “$x$” and “$y$” axis in 2D plots for all my plots but they seem to change depending on the aspect ratio. I have managed to get the tick mark and label fonts constant/uniform, but have not found a solution to the arrow heads “problem”. Is there a solution to this?
There seem to be “solutions” to the problem for individual arrows using Line and polygons but none(?) for the automatic arrows on the plot axis?
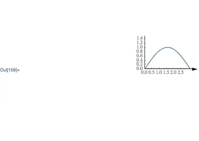
I tried constructing an arrow head using polygons but it cannot be placed over the axis (only half of the arrow head is visible)
Are there any function/commands that I can use to place a graphical object in a plot, even outside the plotting 'border'?
a = -15;
location = {π + 0.5, 0};
arrow =
Polygon[{
location,
Offset[{a, 5}, location],
Offset[{0.7 a, 0}, location],
Offset[{a, -5}, location]
}];
arr = Graphics[arrow];
Plot[Sin[x], {x, 0, π},
PlotRange -> {{0, π + 0.5}, {0, 1.5}},
ImageSize -> Medium,
Epilog -> {arrow}]







{s, pos, {arrow[], setback}}to get the shaft foreshortened bysetback, e.g.,AxesStyle -> {Directive[Thickness[.005], Arrowheads[{{1/100, 1, {arrow[], 1}}}]], Automatic}– kglr Oct 05 '18 at 21:57