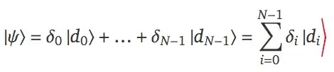
In TraditionalForm, Mathematica formats kets incorrectly in certain expressions.
For example, if used in a summation with indices indicated, a ket becomes too "tall" (red) compared to the rest of the expression:

Is there a way to prevent this gigantism?
Cell[BoxData[
FormBox[
RowBox[{
RowBox[{
RowBox[{
RowBox[{
RowBox[{
RowBox[{
RowBox[{
RowBox[{"\[LeftBracketingBar]", "\[Psi]"}], "\[RightAngleBracket]"}], "=",
RowBox[{
SubscriptBox["\[Delta]", "0"],
RowBox[{"\[LeftBracketingBar]",
SubscriptBox["d", "0"]}]}]}], "\[RightAngleBracket]"}], "+", "\[Ellipsis]", "+",
RowBox[{
SubscriptBox["\[Delta]",
RowBox[{"N", "-", "1"}]],
RowBox[{"\[LeftBracketingBar]",
SubscriptBox["d",
RowBox[{"N", "-", "1"}]]}]}]}], "\[RightAngleBracket]"}], "=",
RowBox[{
UnderoverscriptBox["\[Sum]",
RowBox[{"i", "=", "0"}],
RowBox[{"N", "-", "1"}]],
RowBox[{
SubscriptBox["\[Delta]", "i"],
RowBox[{"\[LeftBracketingBar]",
SubscriptBox["d", "i"]}]}]}]}],
StyleBox["\[RightAngleBracket]",
FontColor->RGBColor[1, 0, 0]]}], TraditionalForm]], "DisplayFormula"]

