Analytic soln is tedious but straightforward.
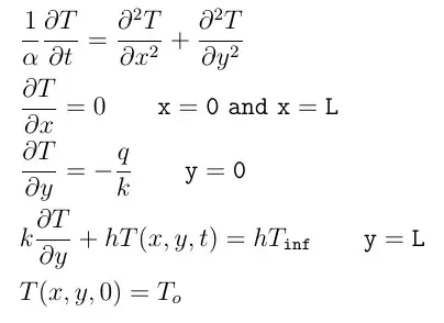
pde = D[T[x, y, t], x, x] + D[T[x, y, t], y, y] - D[T[x, y, t], t]/α == 0;
Separate variables;
T[x_, y_, t_] = X[x] Y[y] Tt[t];
pde/T[x, y, t] // Expand
(*-(Tt'[t]/(α Tt[t]))+X''[x]/X[x]+Y''[y]/Y[y]==0*)
First use a zero constant
x0eq = X''[x]/X[x] == 0;
DSolve[x0eq, X[x], x] // Flatten;
x0 = X[x] /. % /. {C[1] -> c1, C[2] -> c2}
(*c1+c2 x*)
Use a negative constant for sinusoidal solutions
xeq = X''[x]/X[x] == -a^2;
DSolve[xeq, X[x], x] // Flatten;
x1 = X[x] /. % /. {C[1] -> c3, C[2] -> c4}
(*c3 Cos[a x]+c4 Sin[a x]*)
Now the y's
y0eq = Y''[y]/Y[y] == 0;
DSolve[y0eq, Y[y], y] // Flatten;
y0 = Y[y] /. % /. {C[1] -> c5, C[2] -> c6}
(*c5+c6 y*)
yeq = Y''[y]/Y[y] == -b^2;
DSolve[yeq, Y[y], y] // Flatten;
(*c7 Cos[b y]+c8 Sin[b y]*)
t0eq = -(Tt'[t]/(α Tt[t])) + X''[x]/X[x] + Y''[y]/Y[y] == 0 /. {X''[x]/X[x] -> 0, Y''[y]/Y[y] -> 0};
DSolve[t0eq, Tt[t], t] // Flatten;
Tt0 = 1;
teq = -(Tt'[t]/(α Tt[t])) + X''[x]/X[x] + Y''[y]/Y[y] == 0 /. {X''[x]/X[x] -> -a^2, Y''[y]/Y[y] -> -b^2};
DSolve[teq, Tt[t], t] // Flatten;
Tt1 = Tt[t] /. % /. C[1] -> 1 // Simplify
(*E^(α t (-(a^2+b^2)))*)
Put the solutions together
T[x_, y_, t_] = x0 y0 Tt0 + x1 y1 Tt1
(*E^(α t (-(a^2+b^2))) (c3 Cos[a x]+c4 Sin[a x]) (c7 Cos[b y]+c8 Sin[b y])+(c1+c2 x) (c5+c6 y)*)
Apply the bc's on x
(D[T[x, y, t], x] /. x -> 0) == 0
(*a c4 E^(α t (-(a^2+b^2))) (c7 Cos[b y]+c8 Sin[b y])+c2(c5+c6 y)==0*)
From which
c4 = 0;
c2 = 0;
T[x, y, t]
(*c3 Cos[a x] E^(α t (-(a^2+b^2))) (c7 Cos[b y]+c8 Sin[b y])+c1 (c5+c6 y)*)
Combine constants
c3 = 1;
c1 = 1;
The next bc on x
(D[T[x, y, t], x] /. x -> L) == 0
(*-a Sin[a L] E^(α t (-(a^2+b^2))) (c7 Cos[b y]+c8 Sin[b y])==0*)
Can satisfy this by
a = (n π)/L;
$Assumptions = n ∈ Integers
The bc's on y
(D[T[x, y, t], y] /. y -> 0) == -(q/k)
(*b c8 Cos[(π n x)/L] E^(α t (-(b^2+(π^2 n^2)/L^2)))+c6==-(q/k)*)
From which
c8 = 0;
c6 = -(q/k);
((k D[T[x, y, t], y] + h T[x, y, t] /. y -> L) // FullSimplify) == h Tinf
(*c7 Cos[(π n x)/L] E^(α t (-(b^2+(π^2 n^2)/L^2))) (h Cos[b L]-b k Sin[b L])+c5 h-(q (h L+k))/k==h Tinf*)
We can set the first term to 0 by requiring:
beq = h Cos[b L] - b k Sin[b L] == 0;
so there will be an infinite number of b's, requiring an infinite sum in the final solution.
save for later simplification
bRule = {Sin[b L] -> h/(b k) Cos[b L]};
Use the other terms to solve for c5
c5 = c5 /. Solve[c5 h - (q (h L + k))/k == h Tinf, c5][[1]];
T[x, y, t]
(*c7 Cos[b y] Cos[(π n x)/L] E^(α t (-(b^2+(π^2 n^2)/L^2)))+(h k Tinf+h L q+k q)/(h k)-(q y)/k*)
Now we only need to use the ic to solve for c7.
T[x, y, 0] == T0
(*c7 Cos[b y] Cos[(π n x)/L]+(h k Tinf+h L q+k q)/(h k)-(q y)/k==T0*)
Use orthogonality. Shift everything not containing c7 to the RHS, multiply by Cos[(π n x)/L]Cos[b y] and integrate.
c7*Integrate[Cos[(Pi*n*x)/L]^2*Cos[b*y]^2, {y, 0, L}, {x, 0, L}] ==
Integrate[(T0 - (h*k*Tinf + h*L*q + k*q)/(h*k) + (q*y)/k)*Cos[(Pi*n*x)/L]*Cos[b*y],
{y, 0, L}, {x, 0, L}]
(*(c7 L (2 b L+Sin[2 b L]))/(8 b)==0*)
We get 0 for general n. This means only n = 0 will contribute and there will be no x dependency in the final solution. This should not be surprising since the x derivatives or zero on the boundaries and there is not x dependency in the ic.
Try again
n = 0;
T[x, y, t]== T0
(*c7 Cos[b y]+(h k Tinf+h L q+k q)/(h k)-(q y)/k==T0*)
Shift sides. Multiply each side by cos(b y) and integrate.
c7*Integrate[Cos[b*y]^2, {y, 0, L}, {x, 0, L}] ==
Integrate[(T0 - (h*k*Tinf + h*L*q + k*q)/(h*k) + (q*y)/k)*Cos[b*y], {y, 0, L},
{x, 0, L}];
c7 = c7 /. Solve[%, c7][[1]] // Simplify;
T[x, y, t]
(*(E^(α (-b^2) t) Cos[b y] (4 h q Cos[b L]-4 (b k Sin[b L] (-(h T0)+h Tinf+q)+h q)))/(b h k (2 b L+Sin[2 b L]))+(h k Tinf+h L q+k q)/(h k)-(q y)/k*)
Check pde and bc's so far.
pde // Simplify
(*True*)
dTx = D[T[x, y, t], x]
(*0*)
D[T[x, y, t], y] /. y -> 0
(*-(q/k)*)
FullSimplify[k*D[T[x, y, t], y] + h*T[x, y, t] /. y -> L] == h*Tinf /. bRule
(*True*)
Now form a sum over the b's. We can drop the x dependency. Make it a finite sum so we can compute.
Temp[y_, t_, mm_] := (h*k*Tinf + h*L*q + k*q)/(h*k) - (q*y)/k +
(1/(h*k))*Sum[(E^(α*(-t)*b[[m]]^2)*Cos[y*b[[m]]]*(4*h*q*Cos[L*b[[m]]] -
4*(k*b[[m]]*(-(h*T0) + h*Tinf + q)*Sin[L*b[[m]]] + h*q)))/
(b[[m]]*(2*L*b[[m]] + Sin[2*L*b[[m]]])), {m, 1, mm}]
Plug in some numbers. The equation that determines the b's is a transcendental equation and must be solved numerically.
L = 1;
k = 237;
T0 = 10;
Tinf = 10;
\[Alpha] = 80 10^-6;
q = 10;
h = 25;
fb[b_] = beq[[1]]
Plot[fb[b], {b, 0, 4}]

Calculate the first 200 b's with FindRoot.
m = 200;
b = Table[0, {i, m}];
aa = FindRoot[fb[β] == 0, {β, 0.3},
WorkingPrecision -> 100, AccuracyGoal -> 80];
b[[1]] = β /. aa;
aa = FindRoot[fb[β] == 0, {β, 3.2},
WorkingPrecision -> 100, AccuracyGoal -> 80];
b[[2]] = β /. aa;
For[i = 3, i <= m,
aa = FindRoot[fb[β] == 0, {β, 2 b[[i - 1]] - b[[i - 2]]},
WorkingPrecision -> 100 , AccuracyGoal -> 80];
b[[i]] = β /. aa;
i++]
Clear[m]
Do some plots
Plot3D[Evaluate[Temp[y, t, 200]], {y, 0, L}, {t, 0, 2000},
AxesLabel -> {y, t, Temp}, PlotRange -> {9.9999, 10.02}]

gifs = Table[
Plot[Evaluate[Temp[y, t, 20]], {y, 0, L},
AxesLabel -> {y, Tempurature}, PlotRange -> {10, 10.02},
PlotLabel -> "t = " <> ToString[PaddedForm[N[t], {6, 1}]]], {t, 0,
2000, 20}];

We would get a little more action with a higher value for α.
NDSolveand AceFEM. Maybe you find it interesting. – Pinti Jul 01 '19 at 08:14